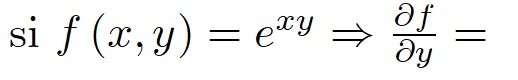
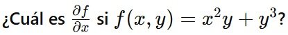
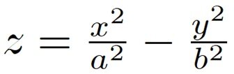
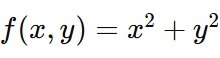
Froggy Jumps Cálculo Vectorial: Planos, Superficies cilíndricas y cuadráticas, Funciones de varias Variables, Derivadas ParcialesVersión en línea Pon a prueba tus conocimientos sobre funciones de varias variables con este divertido quiz. por Marcos Alejo Sandoval Serrano 1 ¿Qué es una función de varias variables? a Una función que solo toma una variable. b Una función que toma más de una variable como entrada. c Una función que no tiene variables. 2 ¿Qué es una función de varias variables? a Una función que solo toma una variable. b Una función que toma más de una variable como entrada. c Una función que no tiene variables. 3 ¿Cuál es el dominio de una función de varias variables? a El conjunto de todos los puntos que se pueden usaren la entrada b Un conjunto vacío. c Un solo número real. 4 ¿Qué es una superficie de nivel? a Un punto específico en el espacio. b El conjunto de puntos donde la función toma un valor constante. c Una línea recta en el plano. 5 ¿Qué es la derivada parcial? a La derivada total de la función. b La derivada de una función respecto a una variable, manteniendo las otras constantes. c La integral de la función. 6 ¿Qué es un punto crítico en funciones de varias variables? a Un punto donde la función es continua. b Un punto donde la función es discontinua. c Un punto donde todas las derivadas parciales son cero. 7 ¿Qué se utiliza para visualizar funciones de dos variables? a Tablas de valores. b Gráficas en 3D. c Gráficas en 2D. 8 ¿Qué es un gráfico de una función de dos variables? a Una superficie en el espacio tridimensional. b Una línea en el plano c Un conjunto de puntos en el plano 9 ¿Qué tipo de ecuaciones se utilizan para definir un plano? a Ecuaciones cúbicas b Ecuaciones lineales. c Ecuaciones cuadráticas 10 ¿Cuál es el dominio de una función de dos variables? a Un número real b Una línea recta c Un subconjunto del plano xy. 11 ¿Qué se necesita para graficar una función de dos variables? a Valores de x e y para obtener z. b Solo valores de y c Solo valores de x 12 ¿Qué forma puede tener la gráfica de una función de dos variables? a Siempre es una línea recta b Puede ser una superficie plana o curva. c Siempre es un círculo 13 ¿Qué es un nivel de una función de dos variables? a Un conjunto de puntos donde la función tiene un valor constante. b Un punto en el plano c Una línea recta 14 ¿Cuál es la ecuación general de una superficie cuadrática? a Ax² + By² + Cz² + D = 0. b x + y + z = 0. c x² + y² + z² = 1. 15 ¿Cuál es un ejemplo de superficie cuadrática? a Una elipsoide. b Un cono. c Un prisma. 16 ¿Qué tipo de superficie se forma al girar una parábola alrededor de su eje? a Un cilindro. b Un paraboloide. c Una esfera. 17 ¿Cómo se llama la intersección de un plano con una superficie cuadrática? a Sección cónica. b Sección lineal. c Sección esférica. 18 ¿Por qué una función puede ser continua y no tener derivadas parciales? a Porque continuidad no implica derivabilidad b Porque no tiene curvas de nivel c Porque todas las funciones son así 19 Si las curvas de nivel están muy juntas, ¿qué indica? a Que la función cambia rápido b Que el valor es constante c Que hay un mínimo 20 ¿Cuál es el dominio de f(x,y)=ln(x−y) ? a x b x>y c x≥y 21 ¿Cuál es la derivada parcial de f(x,y)=x²y respecto a x? a 2xy b x² c 2x 22 Si f(x,y)= x²+ y² , ¿dónde se encuentra su mínimo? a En (0,0) b En (1,1) c En ( -1,1) 23 ¿Qué ecuación representa un paraboloide? a b c 24 La gráfica que representa un Hiperboloide a b c 25 La gráfica que representa un Elipsoide a b c 26 la gráfica que mejor representa la expresión a b c 27 Derivada parcial a b c 28 Derivada parcial a b c