Crear
Obtener Plan Académico

Actividad 1 - Limites

Test

(47)
Observa, lee y responde.

Descarga la versión para jugar en papel

Edad recomendada: 15 años
1755 veces realizada

Creada por

Colombia

Top 10 resultados

  1. 1
    00:17
    tiempo
    100
    puntuacion
  2. 2
    Kevinmp25
    Kevinmp25
    00:17
    tiempo
    100
    puntuacion
  3. 3
    00:19
    tiempo
    100
    puntuacion
  4. 4
    00:26
    tiempo
    100
    puntuacion
  5. 5
    00:39
    tiempo
    100
    puntuacion
  6. 6
    00:47
    tiempo
    100
    puntuacion
  7. 7
    01:19
    tiempo
    100
    puntuacion
  8. 8
    CHRISTIAN BOLAGAY
    CHRISTIAN BOLAGAY
    10:53
    tiempo
    100
    puntuacion
  9. 9
    00:51
    tiempo
    90
    puntuacion
  10. 10
    01:09
    tiempo
    90
    puntuacion
¿Quieres aparecer en el Top 10 de este juego? para identificarte.
Crea tu propio juego gratis desde nuestro creador de juegos
Compite contra tus amigos para ver quien consigue la mejor puntuación en esta actividad

Top juegos

  1. tiempo
    puntuacion
  1. tiempo
    puntuacion
tiempo
puntuacion
tiempo
puntuacion
 
game-icon

Actividad 1 - LimitesVersión en línea

Observa, lee y responde.

por OSCAR ANTONIO MARTINEZ CENDALES
1

La gráfica que se muestra, cuya ecuación es x² + y² = 4, representa una función.

2

Al evaluar el Límite, el resultado es.

3

Utilice la gráfica de la función f(x) para establecer el valor del Límite cuando x = 2

4

Utilice la gráfica de la función f(x) para establecer el valor del Límite cuando x = 4

5

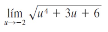
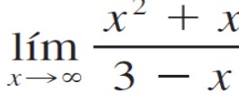
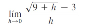
Al evaluar el Límite, el resultado es.

6

Al evaluar el Límite, el resultado es.

7

Al evaluar el Límite, el resultado es.

8

Al evaluar el Límite, el resultado es.

9

Al evaluar el Límite, el resultado es.

10

Una pelota cae más y más rápido al transcurrir el tiempo. ¿Qué famoso matemático descubrió que la distancia de caída es proporcional al cuadrado del tiempo que ha estado cayendo?

Explicación

Recuerde, Todas las Funciones son Relaciones, pero NO todas las Relaciones son Funciones

5(-2)²-(-2)+1 = 5(4)+2+1 = 20+2+1 = 23

Recuerde, para que exista un Límite el valor tanto por izquierda como por derecha debe ser el mismo.

Recuerde, para que exista un Límite el valor tanto por izquierda como por derecha debe ser el mismo.

Revise el video https://www.youtube.com/watch?v=vD6Hu4NbmBc

Si hay una Indeterminación al evaluar el Límite (0/0), se debe: operar, factorizar o racionalizar para evitar la indeterminación.

Si hay una Indeterminación al evaluar el Límite (0/0), se debe: operar, factorizar o racionalizar para evitar la indeterminación.

Si hay una Indeterminación al evaluar el Límite (0/0), se debe: operar, factorizar o racionalizar para evitar la indeterminación.

Revise el video https://www.youtube.com/watch?v=0XxjdRY8SnY

Recuerde, el Cálculo posibilita calcular la rapidez de la pelota en cualquier instante.