Crear
Obtener Plan Académico

Actividad de el criterio de la primera derivada

Froggy Jumps

Uso de el criterio de la primera derivada.

Descarga la versión para jugar en papel

2 veces realizada

Creada por

Ecuador

Top 10 resultados

  1. 1
    23:35
    tiempo
    50
    puntuacion
¿Quieres aparecer en el Top 10 de este juego? para identificarte.
Crea tu propio juego gratis desde nuestro creador de juegos
Compite contra tus amigos para ver quien consigue la mejor puntuación en esta actividad

Top juegos

  1. tiempo
    puntuacion
  1. tiempo
    puntuacion
tiempo
puntuacion
tiempo
puntuacion
 
game-icon

Froggy Jumps

Actividad de el criterio de la primera derivadaVersión en línea

Uso de el criterio de la primera derivada.

por Robinson Israel Macas Prado
1

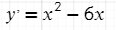
Paso N°1 Sacar la primera derivada

2

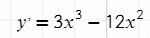
Paso N°2 Igualamos 0 y Sacamos los puntos críticos

3

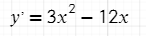
Paso N°3 Determinar los intervalos abiertos

4

Paso N°4 Determinar cuando es creciente y decreciente