Icon Crear Crear

MÉTODO DE IGUALACIÓN

Test

(17)
Complementa el tema, respondiendo correctamente al siguiente quiz.

Descarga la versión para jugar en papel

Edad recomendada: 13 años
487 veces realizada

Creada por

Colombia

Top 10 resultados

  1. 1
    00:10
    tiempo
    100
    puntuacion
  2. 2
    00:22
    tiempo
    100
    puntuacion
  3. 3
    00:28
    tiempo
    100
    puntuacion
  4. 4
    00:36
    tiempo
    100
    puntuacion
  5. 5
    00:40
    tiempo
    100
    puntuacion
  6. 6
    Alexa Zavala
    Alexa Zavala
    00:41
    tiempo
    100
    puntuacion
  7. 7
    Julian Torres
    Julian Torres
    00:55
    tiempo
    100
    puntuacion
  8. 8
    01:00
    tiempo
    100
    puntuacion
  9. 9
    sack
    sack
    01:03
    tiempo
    100
    puntuacion
  10. 10
    kathryn bello
    kathryn bello
    01:06
    tiempo
    100
    puntuacion
¿Quieres aparecer en el Top 10 de este juego? para identificarte.
Crea tu propio juego gratis desde nuestro creador de juegos
Compite contra tus amigos para ver quien consigue la mejor puntuación en esta actividad

Top juegos

  1. tiempo
    puntuacion
  1. tiempo
    puntuacion
tiempo
puntuacion
tiempo
puntuacion
 
game-icon

MÉTODO DE IGUALACIÓNVersión en línea

Complementa el tema, respondiendo correctamente al siguiente quiz.

por Robin Ruiz
1

Para resolver un sistema de ecuaciones lineales por el método de igualación, siempre se debe despejar la misma incógnita en las dos ecuaciones dadas.

2

Un sistema con dos ecuaciones y dos variables puede tener infinitas soluciones.

3

Es imposible solucionar un sistema de ecuaciones que tenga única solución, por el método de igualación.

4

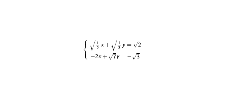
El sistema tiene una única solución.

5

La solución del sistema 2x+y=2 ; x+y=−1 es (3, −4) .

6

El siguiente sistema no es posible resolverlo por el método de igualación.