Crear
Obtener Plan Académico

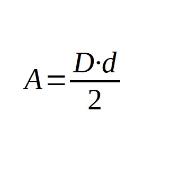
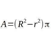
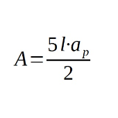
Áreas de las figuras planas

Relacionar Columnas

(3)
Relaciona la figura con su correspondiente área

Descarga la versión para jugar en papel

Edad recomendada: 12 años
530 veces realizada

Creada por

España

Top 10 resultados

  1. 1
    00:23
    tiempo
    100
    puntuacion
  2. 2
    Cindy Zheng 1rB?
    Cindy Zheng 1rB?
    00:30
    tiempo
    100
    puntuacion
  3. 3
    laura rodriguez
    laura rodriguez
    00:37
    tiempo
    100
    puntuacion
  4. 4
    MarcosTapia1B???
    MarcosTapia1B???
    00:41
    tiempo
    100
    puntuacion
  5. 5
    00:46
    tiempo
    100
    puntuacion
  6. 6
    00:46
    tiempo
    100
    puntuacion
  7. 7
    Alek
    Alek
    00:52
    tiempo
    100
    puntuacion
  8. 8
    Carla
    Carla
    00:56
    tiempo
    100
    puntuacion
  9. 9
    Juanjo 1B
    Juanjo 1B
    01:11
    tiempo
    100
    puntuacion
  10. 10
    iziar 1F ???
    iziar 1F ???
    01:16
    tiempo
    100
    puntuacion
¿Quieres aparecer en el Top 10 de este juego? para identificarte.
Crea tu propio juego gratis desde nuestro creador de juegos
Compite contra tus amigos para ver quien consigue la mejor puntuación en esta actividad

Top juegos

  1. tiempo
    puntuacion
  1. tiempo
    puntuacion
tiempo
puntuacion
tiempo
puntuacion
 
game-icon

Relacionar Columnas

Áreas de las figuras planasVersión en línea

Relaciona la figura con su correspondiente área

por Mari Carmen Pérez Peña