Icon Crear Crear

OPERACIONES COMBINADAS

Relacionar Columnas

(7)
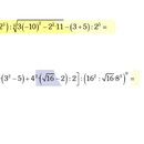
Resuelve las siguientes operaciones combinadas

Descarga la versión para jugar en papel

Edad recomendada: 10 años
289 veces realizada

Creada por

España

Top 10 resultados

  1. 1
    00:05
    tiempo
    100
    puntuacion
  2. 2
    00:06
    tiempo
    100
    puntuacion
  3. 3
    00:14
    tiempo
    100
    puntuacion
  4. 4
    00:24
    tiempo
    100
    puntuacion
  5. 5
    00:29
    tiempo
    100
    puntuacion
  6. 6
    00:32
    tiempo
    100
    puntuacion
  7. 7
    00:39
    tiempo
    100
    puntuacion
  8. 8
    00:49
    tiempo
    100
    puntuacion
  9. 9
    00:53
    tiempo
    100
    puntuacion
  10. 10
    01:13
    tiempo
    100
    puntuacion
¿Quieres aparecer en el Top 10 de este juego? para identificarte.
Crea tu propio juego gratis desde nuestro creador de juegos
Compite contra tus amigos para ver quien consigue la mejor puntuación en esta actividad

Top juegos

  1. tiempo
    puntuacion
  1. tiempo
    puntuacion
tiempo
puntuacion
tiempo
puntuacion
 
game-icon

Relacionar Columnas

OPERACIONES COMBINADASVersión en línea

Resuelve las siguientes operaciones combinadas

por Zoraida Golobardas
educaplay suscripción