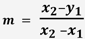
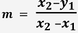
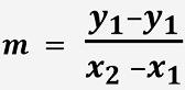
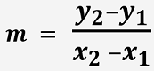
Pendiente de una rectaVersión en línea Esta actividad pretende dar mayor claridad sobre lo que debe entenderse como pendiente de una recta y como se calcula por Juan Caro 1 ¿Qué nos indica la medida o número que corresponde a la pendiente de una recta? Selecciona una o varias respuestas a Qué tan larga es la recta b Directamente el ángulo de elevación c Medida de inclinación de la recta d La distancia de la recta del eje y e La distancia de la recta respecto al eje x 2 ¿En qué caso una pendiente de una recta es positiva? Selecciona una o varias respuestas a Cuando la recta solo está en el primer cuadrante b Cuando decrece la altura cada vez que se avanza a la derecha c Cuando la recta está totalmente horizontal paralela al eje x d Cuando se incrementa (aumenta) la altura cada vez que se avanza a la derecha e Cuando la recta está totalmente vertical paralela al eje y 3 ¿En qué caso una pendiente de una recta es cero? Selecciona una o varias respuestas a Cuando decrece la altura cada vez que se avanza a la derecha b Cuando la recta solo está en el primer cuadrante c Cuando se incrementa la altura cada vez que se avanza a la derecha d Cuando la recta está totalmente vertical paralela al eje y e Cuando la recta es totalmente horizontal, paralela al eje x 4 ¿En qué caso una pendiente de una recta se considera infinita o indefinible? Selecciona una o varias respuestas a Cuando la recta es totalmente vertical, paralela al eje y b Cuando decrece la altura cada vez que se avanza a la derecha c Cuando se incrementa la altura cada vez que se avanza a la derecha d Cuando la recta es totalmente horizontal, paralela al eje x e Cuando la recta solo está en el primer cuadrante 5 ¿En qué caso una pendiente de una recta se considera negativa? Selecciona una o varias respuestas a Cuando se incrementa la altura cada vez que se avanza a la derecha b Cuando la recta es totalmente horizontal, paralela al eje x c Cuando decrece (disminuye) la altura cada vez que se avanza a la derecha d Cuando la recta es totalmente vertical, paralela al eje y e Cuando decrece la altura cada vez que se avanza a la derecha 6 ¿Qué información podemos inferir del valor de la pendiente? Selecciona una o varias respuestas a Cuando se incrementa la altura cada vez que se avanza a la derecha b Cuando la recta es totalmente horizontal, paralela al eje x c Nos indica cuánto aumenta o disminuye la atura conforme avanzamos horizontalmente d Cuando la recta es totalmente vertical, paralela al eje y e Cuando decrece la altura cada vez que se avanza a la derecha 7 ¿Cómo se calcula la pendiente de una recta? Selecciona una o varias respuestas a Calculamos la razón entre la distancia vertical y la distancia horizontal promedio de una diferencia b Calculamos la razón entre la distancia vertical y la distancia horizontal promedio de una división c Haciendo diferencias entre las distancias d Haciendo sumas de las distancias e Calculamos la razón entre la distancia vertical y la distancia horizontal promedio de una multiplicación 8 ¿Qué información podemos inferir a partir del cálculo de la pendiente? Selecciona una o varias respuestas a Nos el incremento vertical de la recta b Nos indica cuántas unidades se puede avanzar en relación a las unidad que se avanza horizontalmente c Nos indica cuántas unidades se puede avanzar verticalmente en relación a las unidad que se avanza horizontalmente d Nos indica el cuadrante sobre el que se dibuja la recta e Nos indica el incremento horizontal positivo de la recta 9 ¿La fórmula general para calcular la pendiente es? Selecciona una o varias respuestas a . b . c . d . e Nos indica el incremento horizontal positivo de la recta Explicación 1 Este tema lo puedes repasar con los apuntes de tu cuaderno o en los textos recomendados en la biografía 2 Este tema lo puedes repasar con los apuntes de tu cuaderno o en los textos recomendados en la biografía 3 Este tema lo puedes repasar con los apuntes de tu cuaderno o en los textos recomendados en la biografía 4 Este tema lo puedes repasar con los apuntes de tu cuaderno o en los textos recomendados en la biografía 5 Este tema lo puedes repasar con los apuntes de tu cuaderno o en los textos recomendados en la biografía 6 Este tema lo puedes repasar con los apuntes de tu cuaderno o en los textos recomendados en la biografía 7 Este tema lo puedes repasar con los apuntes de tu cuaderno o en los textos recomendados en la biografía 8 Este tema lo puedes repasar con los apuntes de tu cuaderno o en los textos recomendados en la biografía 9 Este tema lo puedes repasar con los apuntes de tu cuaderno o en los textos recomendados en la biografía