Icon Crear Crear

ecuaciones exponenciales

Test

Este test te ayudara a repasar lo que vimos en clase!

Descarga la versión para jugar en papel

Edad recomendada: 15 años
2 veces realizada

Creada por

Estados Unidos
Este juego es una version de

Top 10 resultados

  1. 1
    Daniela
    Daniela
    21:21
    tiempo
    90
    puntuacion
  2. 2
    Yuliana Merino
    Yuliana Merino
    17:28
    tiempo
    80
    puntuacion
¿Quieres aparecer en el Top 10 de este juego? para identificarte.
Crea tu propio juego gratis desde nuestro creador de juegos
Compite contra tus amigos para ver quien consigue la mejor puntuación en esta actividad

Top juegos

  1. tiempo
    puntuacion
  1. tiempo
    puntuacion
tiempo
puntuacion
tiempo
puntuacion
 
game-icon

ecuaciones exponencialesVersión en línea

Este test te ayudara a repasar lo que vimos en clase!

por Fernanda Romero
1

¿Cual de las siguientes expresiones es una ecuacion exponencial?

2

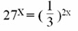
¿cual de las siguientes expresiones es equivalente a la siguiente?

3

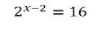
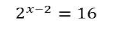
¿Cual es el valor de x en la siguiente ecuacion?

4

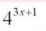
¿Cual es el valor de la incognita x?

5

¿Cual es el valor de la incognita x?

6

Carlos deposita en un banco $1100. La tasa anual de interes es del 8%. El capital de Carlos se incrementara segun la formula:

7

Se sabe que la masa de cierto material radiactivo disminuye en funcion del tiempo segun la expresion siguiente estando "m" en gramos y "t" en hs, ¿despues de cuanto tiempo la masa del materiales de 30gr?

8

En condiciones ideales se sabe que cierta poblacion de bacterias se duplica cada 3hs. Suponga que primero habia 100 bacterias y que la expresion que relaciona el numero N de bacterias en funcion del tiempo t es : N(t) = 100 . 2^(t/3), ¿En cuanto tiempo habra 3200 bacterias?

9

Retomando el caso anterior, ¿Cuantas horas se necesitara para que hayan 12800 bacterias?

10

¿cual es el valor de la incognita x?

Explicación

recuerda que una ecuacion exponencial es aquella en la que la incognita se encuentra en el ...........

tienes que aplicar una de las propiedades de la potenciacion

recuerda que hay que unificar bases de las potencias

unifica bases de las potencias y aplica propiedades de potenciacion

Unifica bases de las potencias y aplica propiedades de la potenciacion

Recuerda la formula que utilizamos de monto o capital final en el cuadernillo.

identifica cual de las variables es dato y cual es incognita.

El simbolo de la formula '^' acordate que significa 'elevado a ....'

idem ejercicio anterior

Unifica bases de las potencias, aplica propiedades de potenciacion y despeja