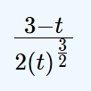
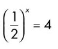
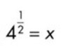
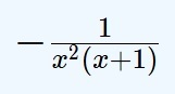
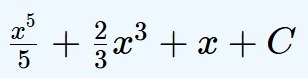
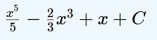
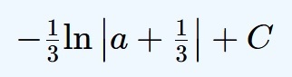
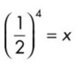
Examen simulación UAG (Curso Biaani' Guizii')Versión en línea El siguiente simulador Biaani' Guizii' ayudara a los jóvenes de todo el país a prepararse para el examen de admisión de ingreso a la UAG por Cursos Preuniversitarios Biaani' Guizii' 1 (Geometría Analítica) a (3,6) b (6,3) c (13,2) d (2,3) 2 (Ecuaciones) a 40 b 50 c 60 d 70 3 (algebra) a b c d 4 (Algebra) a 2 b -2 c 14 d -14 5 (Algebra) a b c d 6 (algebra) a b c d 7 (Algebra) a $400 b $420 c $487 d $490 8 (Algebra) a b c d 9 (Potenciación) a b c d 10 (Algebra) a a) b b) c c) d d) 11 (Algebra) a a) b b) c c) d d) 12 (Algebra) a a) b b) c c) d d) 13 (Algebra) a a) b b) c c) d d) 14 (Algebra) a a) b b) c c) d d) 15 (Algebra) a a) b b) c c) d d) 16 (Algebra) a a) b b) c c) d d) 17 (Algebra) a a) b b) c c) d d) 18 (Algebra) a a) b b) c c) d d) 19 (Algebra) a a) b b) c c) d d) 20 (Algebra) a a) b b) c c) d d) 21 (Algebra) a a) b b) c c) d d) 22 (Algebra) a a) b b) c c) d d) 23 (Algebra) a a) b b) c c) d d) 24 (Algebra) a X-1 b X+1 c X+2 d X-2 25 (Radicación) a b c d 26 (Radicación) a b c d 27 (Algebra) a b c d 28 (Algebra) a b c d 29 (Algebra) a b c d 30 (Algebra) a b c d 31 (Potenciación) a b c d 32 (logaritmos) a b c d 33 (Algebra) a b c d 34 (Radicación) a 25 b 125 c 225 d 625 35 (Algebra) a b c d 36 (Algebra) a x (x-3) b x-3 c x d x-1 37 (números racionales) a 525 b 519 c 441 d 386 38 (Ecuaciones de primer grado) a -8/5 b 5/8 c -5/8 d 8/5 39 (ecuaciones) a b c d 40 (desigualdades) a x>3 b x<-13 c x>-3 d x>13 41 (ecuaciones) a $15 b $10 c $13 d $12 42 (ecuaciones) a x=2 y y=-2 b x=-2 y y=-2 c x=2 y y=-2 d x=2 y y=2 43 (Dominio de funciones) a b c d 44 (funciones) a b c d 45 (Composición de funciones) a b c d 46 (Trigonometría) a b c d 47 (Trigonometría) a 2.59 m b 1.73 m c 3.00 m d 1.29 m 48 (Geometría analítica) a b c d 49 (Geometría analítica) a -2 b 3 c - 3/7 d 7/3 50 (Geometría analítica) a y= -2x-9 b y=-4x+3 c y=-5x-11 d y=-3x+17 51 (Geometría analítica) a b c d 52 (Geometría analítica) a b c d 53 (Geometría analítica) a b c d 54 (Geometría analítica) a b c d 55 (algebra) a b c d 56 (trigonometría) a b c d 57 (trigonometría) a 90° b 145.5° c 127.5° d 73.5° 58 (algebra) a 0 y -3/2 b 0 c 3/2 d 0 y 3/2 59 (Ecuaciones) a b c d 60 (calculo) a 1,2,3,4 b 2,1,3,4 c 4,3,1,2 d 1,2,4,3 61 (calculo) a b c d 62 (calculo) a b c d 63 (Geometría Analitica) a (1,1) b (-1,1) c (1,-1) d (-1,-1) 64 (geometría analitica) a (-2,4) b (2,-4) c (2,4) d (-2,-4) 65 (Geometría analitica) a 4 b 2 c 6 d 3 66 (Calculo) a b c d 67 (calculo) a -1 b 0 c 1 d 68 (calculo) a b c d 69 (calculo) a b c d 70 (calculo) a b c d 71 (calculo) a b c d 72 (calculo) a 1 b 1 c 4/3 d 0 73 (Probabilidad y estadística) a 25 b 55 c 28 d 35 74 (Probabilidad y estadística) a 3003 b 4003 c 5003 d 6003 75 (Probabilidad y estadística) a 100 b 110 c 115 d 120 76 (Probabilidad y estadística) a 70 b 60 c 50 d 45 77 (Probabilidad y estadística) a b c d 78 (Aritmetica) a -15 b 15 c 7 d 4 79 (calculo) a -9 b 9 c 0 d 4 80 (calculo) a b c d 81 (calculo) a b c d 82 (calculo) a b c d 83 (calculo) a b c d 84 (Calculo) a Integración directa b Cambio de variables c por partes d Fracciones parciales 85 (Geometría) a b c d 86 (sucesiones) a b c d 87 (sucesiones) a b c d 88 (sucesiones) a b c d