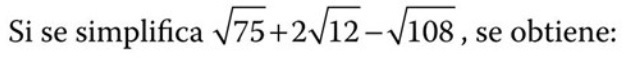
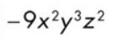
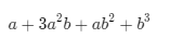
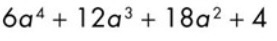
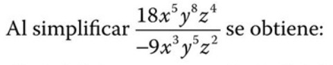
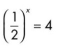
Simulador Examen de Admisión UAM (Curso Biaani' Guizii')Versión en línea Prepárate con el simulador de Biaani' Guizii' por Cursos Preuniversitarios Biaani' Guizii' 1 Selecciona la respuesta correcta a (3,6) b (6,3) c (13,2) d (2,3) 2 Selecciona la respuesta correcta a 40 b 50 c 60 d 70 3 Selecciona la respuesta correcta a 0.1 b 0.2 c 0.3 d 0.4 4 Selecciona la respuesta correcta a (5.5,6) b (0.5,2) c (6,2) d (5.5,2) 5 Selecciona la respuesta correcta a a) b b) c c) d d) 6 ¿Cuál es el valor de w que satisface la ecuación? a 27 b 6 c 3 d 9 7 ¿Cuál es el sinónimo? a b c d 8 ¿Qué sigue en la secuencia? a b c d 9 ¿Qué sigue en la secuencia? a b c d 10 Identifica el sinónimo a b c d 11 ¿Al ordenar da como resultado un? a b c d 12 Encuentra la relación entre esta palabra y una de las opciones a b c d 13 ¿Cuanto tiempo tiene que esperar Roberto para el siguiente tren? a b c d 14 Elige el bloque apropiado para completar el patrón: a b c d 15 ¿Cual es el área de esta figura? (Todas las respuestas estan en cm^2) a b c d 16 Hay 10 lados visibles en esta figura. ¿Que porcentaje de los lados visibles es azul? a b c d 17 ¿Cuál de estos cubos resulta de esta figura? a b c d 18 ¿Qué forma resultara al unir estas dos figuras? a b c d 19 ¿Qué número completa la igualdad? a b c d 20 ¿Sí, SANDIA=AIDNAS, entonces que número completa la igualdad? a b c d 21 ¿Qué letra completa la secuencia? a b c d 22 ¿Cuál número completa la secuencia? a b c d 23 Mira el primero ejemplo para ver en qué se convierte la forma cuando se dobla. A continuación, aplica la misma lógica con la forma inferior. a b c d 24 ¿Cuál es la imagen de la figura que se muestra? a b c d 25 Al cortar el papel de la siguiente manera, ¿Cómo se verá el resultado? a b c d 26 ¿Cuál de estas opciones es la vista superior de la figura? a b c d 27 ¿Cuál figura completa la secuencia? a b c d 28 El resultado del binomio al cubo es: a b c d 29 ¿Cuál de las siguientes es una cita textual? a Hola b Adiós c Viva la loquera d Vivir sola es como estar en una fiesta donde nadie te hace caso (Marilyn Monroe) 30 La conlusion del texto es: a Uno de los contrincantes está mejor alimentado b El campesino debió respetar más al maestro c El maestro resultó más débil que el campesino d El hombre saca lo mejor de sí frente a la adversidad 31 ¿Cuál es el valor del tercer quartil? a 19 b 20 c 24 d 25 32 ¿Cuál es el valor de x? a 2 b -2 c 14 d -14 33 Dominio de la función a b c d 34 ¿Qué tipo de grafico es? a Polígono de frecuencia b histograma c grafico de barras d gráfico circular 35 ¿Qué lugar ocupa México en extensión territorial a nivel mundial? a 3 b 16 c 13 d 4 36 Las siguientes frases son un ejemplo de lenguaje figurativo, excepto a Sus retoños crecieron bajo una tutela cuidadosa y esmerada educación b La maldad se ocultaba en su forma más pura bajo esos olocuentes ojos rasgados. c No tenia mas opción que creer en el testimonio de los presentes. d Estás presente, como las tardes de primavera en los recuerdos del otoño. 37 ¿Cuál es el resultado de la multiplicación? a b c d 38 ¿Cuál es el resultado de la operación? a b c d 39 ¿Cuál es el precio final del producto? a $400 b $420 c $487 d $490 40 ¿Qué estudia la química? a La materia y sus transformaciones b Los elementos c El agua d El cielo 41 ¿Qué es lo anterior? a Opinión b Hecho c Dato d Anuncio 42 El resultado de la operación es: a b c d 43 ¿Qué tipo de lenguaje se utiliza en el siguiente párrafo? a Técnico b Literario c Formal d Coloquial 44 El resultado de la operación es: a b c d 45 El resultado de la operación es: a a) b b) c c) d d) 46 El resultado de la operación es: a a) b b) c c) d d) 47 El resultado de la operación es: a a) b b) c c) d d) 48 El resultado de la operación es: a a) b b) c c) d d) 49 El resultado de la operación es: a a) b b) c c) d d) 50 El resultado de la operación es : a a) b b) c c) d d) 51 El resultado de la operación es: a a) b b) c c) d d) 52 El resultado de la operación es : a a) b b) c c) d d) 53 El resultado de la operación es : a a) b b) c c) d d) 54 El resultado de la operación es: a a) b b) c c) d d) 55 El resultado de la operación es: a a) b b) c c) d d) 56 El resultado de la operación es: a a) b b) c c) d d) 57 El resultado de la operación es: a a) b b) c c) d d) 58 El resultado de la operación es : a a) b b) c c) d d) 59 El resultado de la operación es: a a) b b) c c) d d) 60 El resultado de la operación es : a a) b b) c c) d d) 61 El resultado de la operación es : a a) b b) c c) d d) 62 El resultado de la operación es: a a) b b) c c) d d) 63 El resultado de la operación es: a a) b b) c c) d d) 64 El resultado de la operación es: a a) b b) c c) d d) 65 El resultado de la operación es: a a) b b) c c) d d) 66 El resultado de la operación es: a a) b b) c c) d d) 67 El resultado de la operación es: a a) b b) c c) d d) 68 El resultado de la operación es: a X-1 b X+1 c X+2 d X-2 69 El resultado de la operación es: a X=3 b X=2 c X=6 d X=8 70 El resultado de la operación es: a b c d 71 El resultado de la operación es: a b c d 72 El resultado de la operación es : a b c d 73 El resultado de la operación es: a b c d 74 El resultado de la operación es : a b c d 75 El resultado de la operación es: a b c d 76 El resultado de la operación es: a b c d 77 El resultado de la operación es: a b c d 78 El resultado de la operación es: a b c d 79 El resultado de la operación es : a a) b b) c c) d d) 80 El resultado de la operación es : a a) b b) c c) d d) 81 El resultado de la operación es: a a) b b) c c) d d) 82 El resultado de la operación es : a a) b b) c c) d d) 83 El resultado de la operación es : a a) b b) c c) d d) 84 El resultado de la operacion es : a a) b b) c c) d d) 85 El resultado de la operacion es : a a) b b) c c) d d) 86 El resultado de la operación es : a a) b b) c c) d d) 87 El resultado de la operación es : a a) b b) c c) d d) 88 El resultado de la operación es: a a) b b) c c) d d) 89 El resultado de la operación es: a a) b b) c c) d d) 90 El resultado de la operación es : a a) b b) c c) d d) 91 El resultado de la operación es : a a) b b) c c) d d) 92 El resultado de la operación es : a a) b b) c c) d d) 93 El resultado de la operación es: a a) b b) c c) d d) 94 El resultado de la operación es : a a) b b) c c) d d) 95 El resultado de la operación es : a a) b b) c c) d d) 96 El resultado de la operación es : a a) b b) c c) d d) 97 El resultado de la operación es : a a) b b) c c) d d) 98 El resultado de la operación es : a a) b b) c c) d d) 99 El resultado de la operación es : a a) b b) c c) d d) 100 El resultado de la operación es : a a) b b) c c) d d)