Icon Crear Crear

Racionalización

Test

(255)
Elimina las raíces de los denominadores!

Descarga la versión para jugar en papel

Edad recomendada: 15 años
9568 veces realizada

Creada por

Chile

Top 10 resultados

  1. 1
    00:13
    tiempo
    100
    puntuacion
  2. 2
    00:13
    tiempo
    100
    puntuacion
  3. 3
    00:18
    tiempo
    100
    puntuacion
  4. 4
    Yad
    Yad
    00:20
    tiempo
    100
    puntuacion
  5. 5
    00:24
    tiempo
    100
    puntuacion
  6. 6
    00:25
    tiempo
    100
    puntuacion
  7. 7
    00:27
    tiempo
    100
    puntuacion
  8. 8
    00:28
    tiempo
    100
    puntuacion
  9. 9
    Lost
    Lost
    00:29
    tiempo
    100
    puntuacion
  10. 10
    00:38
    tiempo
    100
    puntuacion
¿Quieres aparecer en el Top 10 de este juego? para identificarte.
Crea tu propio juego gratis desde nuestro creador de juegos
Compite contra tus amigos para ver quien consigue la mejor puntuación en esta actividad

Top juegos

  1. tiempo
    puntuacion
  1. tiempo
    puntuacion
tiempo
puntuacion
tiempo
puntuacion
 
game-icon

RacionalizaciónVersión en línea

Elimina las raíces de los denominadores!

por Jennipher Ferreira
1

Al racionalizar y simplificar se obtiene:

2

Al racionalizar resulta:

3

Al racionalizar se obtiene:

4

Al racionalizar se obtiene:

5

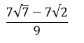
¿Cuál de las siguientes expresiones es equivalente a la de la imagen?

6

Al racionalizar el siguiente cociente se obtiene:

7

Al racionalizar se obtiene:

8

La expresión equivalente a la de la imagen es:

9

Al racionalizar se obtiene:

educaplay suscripción