Icon Crear Crear

Fracciones algebraicas (D)

Test

Ejercicios de suma, resta, multiplicación, división de fracciones algebraicas.

Descarga la versión para jugar en papel

Edad recomendada: 15 años
6 veces realizada

Creada por

Ecuador
Este juego es una version de

Top 10 resultados

  1. 1
    Danna López
    Danna López
    00:53
    tiempo
    100
    puntuacion
  2. 2
    BRIANA CEDEÑO FRANCO 1ro C
    BRIANA CEDEÑO FRANCO 1ro C
    01:31
    tiempo
    100
    puntuacion
¿Quieres aparecer en el Top 10 de este juego? para identificarte.
Crea tu propio juego gratis desde nuestro creador de juegos
Compite contra tus amigos para ver quien consigue la mejor puntuación en esta actividad

Top juegos

  1. tiempo
    puntuacion
  1. tiempo
    puntuacion
tiempo
puntuacion
tiempo
puntuacion
 
game-icon

Fracciones algebraicas (D)Versión en línea

Ejercicios de suma, resta, multiplicación, división de fracciones algebraicas.

por Laura Márquez García
1

Efectúe la siguiente operación con fracciones y simplifique

2

Efectúe la siguiente operación con fracciones y simplifique

3

Efectúe la siguiente operación con fracciones y simplifique

4

Efectúe la siguiente operación con fracciones y simplifique

5

Efectúe la siguiente operación con fracciones y simplifique

6

Efectúe la siguiente operación con fracciones y simplifique

7

Efectúe la siguiente operación con fracciones y simplifique

8

Efectúe la siguiente operación con fracciones y simplifique

9

Efectúe la multiplicación indicada y simplifique.

10

Efectúe la siguiente operación con fracciones y simplifique

11

Efectúe la multiplicación indicada y simplifique.

12

Efectúe la siguiente operación con fracciones y simplifique

13

Efectúe la multiplicación indicada y simplifique.

14

Efectúe la siguiente operación con fracciones y simplifique

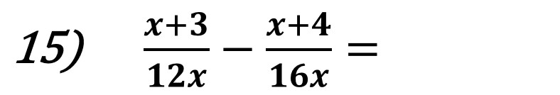
15

Efectúe la siguiente operación con fracciones y simplifique

16

Efectúe la siguiente operación con fracciones y simplifique

17

Efectúe la siguiente operación con fracciones y simplifique

18

Efectúe la siguiente operación con fracciones y simplifique

19

Efectúe la siguiente operación con fracciones y simplifique

20

Efectúe la siguiente operación con fracciones y simplifique

21

Efectúe la siguiente operación con fracciones y simplifique

22

Efectúe la siguiente operación con fracciones y simplifique

23

Efectúe la siguiente operación con fracciones y simplifique

24

Efectúe la siguiente operación con fracciones y simplifique

25

Efectúe la siguiente operación con fracciones y simplifique

26

Efectúe la siguiente operación con fracciones y simplifique

27

Efectúe la siguiente operación con fracciones y simplifique

28

Efectúe la siguiente operación con fracciones y simplifique

29

Efectúe la siguiente operación con fracciones y simplifique

30

Efectúe la siguiente operación con fracciones y simplifique

31

Efectúe la siguiente operación con fracciones y simplifique

32

Efectúe la siguiente operación con fracciones y simplifique

33

Efectúe la siguiente operación con fracciones y simplifique

34

Efectúe la siguiente operación con fracciones y simplifique

35

Efectúe la siguiente operación con fracciones y simplifique

36

Efectúe la siguiente operación con fracciones y simplifique

37

Efectúe la siguiente operación con fracciones y simplifique

38

Efectúe la siguiente operación con fracciones y simplifique

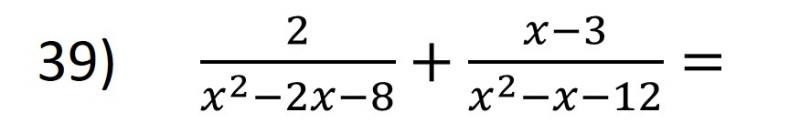
39

Efectúe la siguiente operación con fracciones y simplifique

40

Efectúe la siguiente operación con fracciones y simplifique

41

Efectúe las operaciones indicadas y simplifique

42

Efectúe la siguiente operación y exprese el resultado en forma reducida.

43

Efectúe la siguiente operación con fracciones y simplifique

44

Efectúe la siguiente operación con fracciones y simplifique

45

Efectúe la siguiente operación con fracciones y simplifique

46

Efectúe la siguiente operación con fracciones y simplifique

47

Efectúe la siguiente operación con fracciones y simplifique

48

Efectúe la siguiente operación con fracciones y simplifique

49

Efectúe la siguiente operación con fracciones y simplifique

50

Efectúe la siguiente operación con fracciones y simplifique

51

Efectúe la siguiente operación con fracciones y simplifique

52

Efectúe la siguiente operación con fracciones y simplifique

53

Efectúe la siguiente operación con fracciones y simplifique

54

Efectúe la siguiente operación con fracciones y simplifique

55

Efectúe la siguiente operación con fracciones y simplifique

educaplay suscripción