Icon Crear Crear
Obtener Plan Académico

RADICACIÓN EN Z

Froggy Jumps

Aplicación de las propiedades de la radicación en los números enteros.

Descarga la versión para jugar en papel

Edad recomendada: 12 años
4 veces realizada

Creada por

Perú

Top 10 resultados

  1. 1
    andy
    andy
    00:35
    tiempo
    20
    puntuacion
¿Quieres aparecer en el Top 10 de este juego? para identificarte.
Crea tu propio juego gratis desde nuestro creador de juegos
Compite contra tus amigos para ver quien consigue la mejor puntuación en esta actividad

Top juegos

  1. tiempo
    puntuacion
  1. tiempo
    puntuacion
tiempo
puntuacion
tiempo
puntuacion
 
game-icon

Froggy Jumps

RADICACIÓN EN ZVersión en línea

Aplicación de las propiedades de la radicación en los números enteros.

por GIANINA GABRIELA PENA MENDEZ
1

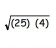
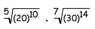
Hallar el resultado

2

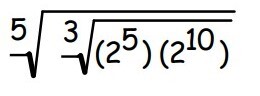
Hallar la raíz

3

Hallar la raíz

4

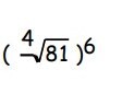
¿Cuál es su raíz?

5

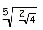
¿Cuál es su equivalente?

6

Hallar el resultado

7

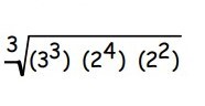
¿A cuánto equivale?

8

¿Cuál es la raíz?

9

Hallar el resultado

10

Indicar el índice y el radicando respectivamente