Icon Crear Crear

Ecuaciones racionales de primer grado

Froggy Jumps

Juego para complementar el aprendizaje

Descarga la versión para jugar en papel

Edad recomendada: 15 años
55 veces realizada

Creada por

Ecuador

Top 10 resultados

  1. 1
    Carolina Utreras noveno B
    Carolina Utreras noveno B
    28:38
    tiempo
    100
    puntuacion
  2. 2
    9A Sammir Jimenez
    9A Sammir Jimenez
    07:52
    tiempo
    80
    puntuacion
  3. 3
    Andrea Tipan 9 C
    Andrea Tipan 9 C
    08:21
    tiempo
    80
    puntuacion
  4. 4
    Martin
    Martin
    03:26
    tiempo
    60
    puntuacion
  5. 5
    11:23
    tiempo
    60
    puntuacion
  6. 6
    00:29
    tiempo
    40
    puntuacion
  7. 7
    01:20
    tiempo
    40
    puntuacion
  8. 8
    00:24
    tiempo
    20
    puntuacion
  9. 9
    02:37
    tiempo
    20
    puntuacion
  10. 10
    00:08
    tiempo
    0
    puntuacion
¿Quieres aparecer en el Top 10 de este juego? para identificarte.
Crea tu propio juego gratis desde nuestro creador de juegos
Compite contra tus amigos para ver quien consigue la mejor puntuación en esta actividad

Top juegos

  1. tiempo
    puntuacion
  1. tiempo
    puntuacion
tiempo
puntuacion
tiempo
puntuacion
 
game-icon

Froggy Jumps

Ecuaciones racionales de primer gradoVersión en línea

Juego para complementar el aprendizaje

por Luis Alberto Del Pezo Reyes
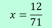
1

Determina el valor de la incógnita x que satisface a la siguiente ecuación:

2

Determina el valor de la incógnita x que satisface a la siguiente ecuación:

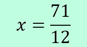
3

Determina el valor de la incógnita x que satisface a la siguiente ecuación:

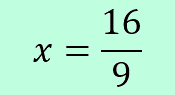
4

Determina el valor de la incógnita x que satisface a la siguiente ecuación:

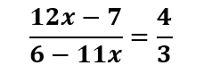
5

Determina el valor de la incógnita x que satisface a la siguiente ecuación:

educaplay suscripción