Icon Crear Crear

Derivadas parciales de primer orden

Froggy Jumps

(1)
Derivaciones parciales

Descarga la versión para jugar en papel

Edad recomendada: 16 años
12 veces realizada

Creada por

Colombia

Top 10 resultados

  1. 1
    00:36
    tiempo
    100
    puntuacion
  2. 2
    02:15
    tiempo
    40
    puntuacion
¿Quieres aparecer en el Top 10 de este juego? para identificarte.
Crea tu propio juego gratis desde nuestro creador de juegos
Compite contra tus amigos para ver quien consigue la mejor puntuación en esta actividad

Top juegos

  1. tiempo
    puntuacion
  1. tiempo
    puntuacion
tiempo
puntuacion
tiempo
puntuacion
 
game-icon

Froggy Jumps

Derivadas parciales de primer ordenVersión en línea

Derivaciones parciales

por Claudia Rocio Uribe Suarez
1

La derivada parcial de primer orden con respecto a la variable x de la función

2

La derivada parcial de primer orden con respecto a la variable x de la función

3

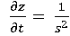
La derivada parcial de primer orden con respecto a la variable t de la función

4

La derivada parcial de primer orden con respecto a la variable x de la función

5

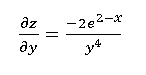
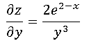
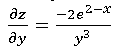
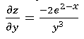
La derivada parcial de primer orden con respecto a la variable y de la función