Icon Crear Crear

Fórmula de derivadas

Froggy Jumps

Tienes que ayudar a Frogy a cruzar, indicando la fórmula correcta de las derivadas.

Descarga la versión para jugar en papel

Edad recomendada: 16 años
4 veces realizada

Creada por

México

Top 10 resultados

  1. 1
    00:24
    tiempo
    13
    puntuacion
¿Quieres aparecer en el Top 10 de este juego? para identificarte.
Crea tu propio juego gratis desde nuestro creador de juegos
Compite contra tus amigos para ver quien consigue la mejor puntuación en esta actividad

Top juegos

  1. tiempo
    puntuacion
  1. tiempo
    puntuacion
tiempo
puntuacion
tiempo
puntuacion
 
game-icon

Froggy Jumps

Fórmula de derivadasVersión en línea

Tienes que ayudar a Frogy a cruzar, indicando la fórmula correcta de las derivadas.

por Gabriel Martinez Vergara
1

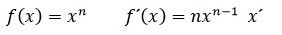
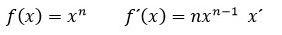
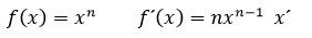
La derivada de una potencia es:

2

La derivada de una constante es:

3

La derivada de "equis" es:

4

La derivada de una raíz es:

5

la derivada de un cociente es:

6

la derivada de un producto es:

7

La derivada de una constante por una variable es:

8

La derivada de una suma de funciones es: