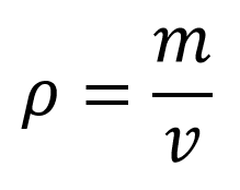
Froggy Jumps Juego de las características de los fluidosVersión en línea En este juego se repasan temas relacionados con los fluidos y sus características. Encontraran diferentes conceptos como viscosidad, tensión superficial, densidad, cohesión, adherencia, capilaridad, hidrostática e hidráulica. Además, preguntamos acerca de fórmulas y unidades de medida según el Sistema Internacional (SI). por Itza Garcia Verduzco 1 ¿Qué es un fluido? a Sustancia compuesta por átomos ionizados, donde los electrones circulan libremente b Sustancias cuya viscosidad varía con la temperatura o la tensión cortante que se le aplica. c Toda sustancia cuyas moléculas pueden deslizarse unas sobre otras, o se mueven sueltas. 2 ¿En qué estado de la materia las moléculas se mueven sueltas? a Sólido b Líquido c Gaseoso 3 ¿Cuál es el estado en que las moléculas están confundidas en un espacio pequeño entre moléculas cercanas? a Gaseoso b Líquido c Sólido 4 ¿Qué estudia la hidráulica? a La mecánica de los líquidos b Las aguas terrestre, su origen, movimiento y distribución en nuestro planeta c Aspectos fundamentales de la biología básica de los anfibios 5 ¿Qué es la cohesión? a La fuerza que repele el agua a otras sustancias y hace que no se puedan mezclar con ella. b Es la fuerza que mantiene unidas a las moléculas de una misma sustancia c Es la fuerza de atracción que se manifiesta entre las moléculas 6 ¿A qué magnitud corresponde la siguiente fórmula? a Velocidad b Densidad c Presión 7 Si multiplicamos la densidad de una sustancia por la magnitud de la aceleración de la gravedad, ¿Qué obtenemos? a La fuerza aplicada b La velocidad de caída libre c El peso específico 8 ¿Cuál de estas NO es una característica de los líquidos? a Viscosidad b Rigidez c Tensión superficial 9 ¿De qué otra manera nos podemos referir a la densidad? a Masa corrompida b Líquido fluyente c Masa específica 10 Gracias a la tensión superficial, la superficie de un líquido se comporta como … a un propulsor b un brincolín c una finísima membrana elástica 11 En el sistema internacional ¿Cuál es la unidad de medida de la densidad? a kg/m^3 b m/s^2 c km/h 12 ¿Cómo se origina la viscosidad? a Cuando existe un contacto permanente b La atracción entre moléculas c Rozamiento de unas partículas con otras 13 ¿Cuál es la unidad de medida de la viscosidad? a Pascal-segundo b Newtons c Voltios 14 ¿Cuál es la diferencia entre hidrostática e hidrodinámica? a La hidrostática estudia el aire y la hidrodinámica los estudia el viento b La hidrostática estudia líquidos en reposo y la hidrodinámica los estudia en movimiento. c La hidrostática estudia el agua y la hidrodinámica los estudia el mar 15 ¿Cuál es la definición de viscosidad? a Es la parte de la física que estudia los movimientos de los fluidos b Es la tensión del agua superficial c Es una medida de la resistencia que opone un líquido a fluir. 16 Es la fuerza que mantiene unidas a las moléculas de una misma sustancia a Fuerza de gravedad b Cohesión c Adherencia 17 Cuando llueve en los carros se suelen adherir las gotas de agua que caen y se mantienen ahí, este es un ejemplo de: a Adherencia b Cohesión c Viscosidad 18 ¿Debido a que fenómeno la savia de las plantas circula a través de sus tallos? a Tensión superficial b Capilaridad c Gravedad