Icon Crear Crear

Froggy Jumps-Alcanos-3C

Froggy Jumps

(2)
Esta actividad está diseñada para repasar contenidos de Tercer año de Química.

Descarga la versión para jugar en papel

Edad recomendada: 17 años
192 veces realizada

Creada por

Ecuador
Este juego es una version de

Top 10 resultados

  1. 1
    Rosa Barrera
    Rosa Barrera
    00:26
    tiempo
    100
    puntuacion
  2. 2
    Arelys Silva
    Arelys Silva
    00:28
    tiempo
    100
    puntuacion
  3. 3
    Nicole Vaca
    Nicole Vaca
    00:34
    tiempo
    100
    puntuacion
  4. 4
    Mishelle Guano
    Mishelle Guano
    00:38
    tiempo
    100
    puntuacion
  5. 5
    Wendy Delgado
    Wendy Delgado
    00:40
    tiempo
    100
    puntuacion
  6. 6
    00:43
    tiempo
    100
    puntuacion
  7. 7
    00:46
    tiempo
    100
    puntuacion
  8. 8
    Anthony Ruiz
    Anthony Ruiz
    00:49
    tiempo
    100
    puntuacion
  9. 9
    Daniela Chango
    Daniela Chango
    00:50
    tiempo
    100
    puntuacion
  10. 10
    00:55
    tiempo
    100
    puntuacion
¿Quieres aparecer en el Top 10 de este juego? para identificarte.
Crea tu propio juego gratis desde nuestro creador de juegos
Compite contra tus amigos para ver quien consigue la mejor puntuación en esta actividad

Top juegos

  1. tiempo
    puntuacion
  1. tiempo
    puntuacion
tiempo
puntuacion
tiempo
puntuacion
 
game-icon

Froggy Jumps

Froggy Jumps-Alcanos-3CVersión en línea

Esta actividad está diseñada para repasar contenidos de Tercer año de Química.

por Dario Miranda
1

Un alquino se reconoce por:

2

Los alquinos también son conocidos como:

3

La fórmula para determinar alcanos es:

4

2,3,4-trimetil pentano es comúnmente llamada:

5

La fórmula de heptadecano es:

6

C31H62 es la fórmula de:

7

Indique qué fórmula de cadena carbonada es INCORRECTA :

8

Al combustionar (por si acaso se usa oxígeno) los alcanos se obtienen como productos:

9

Esta cadena carbonada obedece al nombre:

10

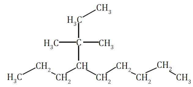
4-tercpentilnonano corresponde a la siguiente cadena carbonada