Icon Crear Crear

Crucinúmero

Crucigrama

(2)
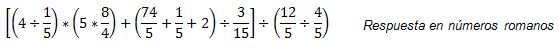
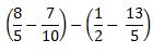
Realiza las operaciones con números fraccionarios que se presentan a continuación y escribe en palabras (no en números) el resultado obtenido en las casillas horizontales o verticales según el caso.

Por ejemplo, si obtienes como resultado el número 6 en el ejercicio # 4, debes escribir: SEIS dicho lugar.

Descarga la versión para jugar en papel

50 veces realizada

Creada por

Colombia

Top 10 resultados

  1. 1
    02:41
    tiempo
    74
    puntuacion
  2. 2
    00:31
    tiempo
    0
    puntuacion
¿Quieres aparecer en el Top 10 de este juego? para identificarte.
Crea tu propio juego gratis desde nuestro creador de juegos
Compite contra tus amigos para ver quien consigue la mejor puntuación en esta actividad

Top juegos

  1. tiempo
    puntuacion
  1. tiempo
    puntuacion
tiempo
puntuacion
tiempo
puntuacion
 
game-icon

Crucigrama

CrucinúmeroVersión en línea

Realiza las operaciones con números fraccionarios que se presentan a continuación y escribe en palabras (no en números) el resultado obtenido en las casillas horizontales o verticales según el caso. Por ejemplo, si obtienes como resultado el número 6 en el ejercicio # 4, debes escribir: SEIS dicho lugar.

por Camilo Gallego Lara
1

2

3

4

5

6

7

8

5
8
4
3
6
7