Icon Crear Crear
Recognition of words related to the elements of the cone

Descarga la versión para jugar en papel

Edad recomendada: 11 años
0 veces realizada

Creada por

Colombia

Top 10 resultados

Todavía no hay resultados para este juego. ¡Sé el primero en aparecer en el ranking! para identificarte.
Crea tu propio juego gratis desde nuestro creador de juegos
Compite contra tus amigos para ver quien consigue la mejor puntuación en esta actividad

Top juegos

  1. tiempo
    puntuacion
  1. tiempo
    puntuacion
tiempo
puntuacion
tiempo
puntuacion
 
game-icon

The ConeVersión en línea

Recognition of words related to the elements of the cone

por geometria del espacio Unad
A
B
C
D
E
F
G
H
I
L
M
N
O
P
Q
R
S
T
U
V

Empieza por A

it is the leg around which the right triangle must rotate to form the cone

Empieza por B

It is the circle that arises as a result of the rotary movement of the other leg. This leg is also considered the radius of the cone, that is, half the diameter.

Empieza por C

It is a solid of revolution that is formed from the rotation of a right triangle around a leg.

Contiene la D

Contiene la E

Contiene la F

Empieza por G

This is the name of the hypotenuse of the right triangle, which produces the lateral zone of the cone, which is known as the mantle

Empieza por H

If this property of the round body is equivalent in magnitude with the extension of the axis, that is, it forms a line perpendicular to the base joining the center of it with the cusp, then we are faced with a right cone.

Contiene la I

Is a cone closely related to one?

Empieza por L

Contiene la M

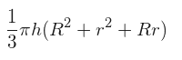
Calculate the volume of the cone whose height is 4 cm and the base radius is 3 cm.

Contiene la N

It is the geometric body that results when cutting a cone along a plane parallel to the base and separating the part that contains the vertex.

Empieza por O

These round bodies have a height that does not coincide with the extension of the axis, since it does not form a perpendicular line with the base, but rather has a certain inclination.

Contiene la P

It is the vertex located at the top, in what we could call "the tip" of the cone.

Contiene la Q

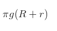
Calculate the lateral area whose generatrix is ​​13 cm and the radius of the base is 5 cm.

Empieza por R

is the radius of the base

Empieza por S

Empieza por T

That are used to order traffic or warn drivers are round bodies.

Contiene la U

Empieza por V