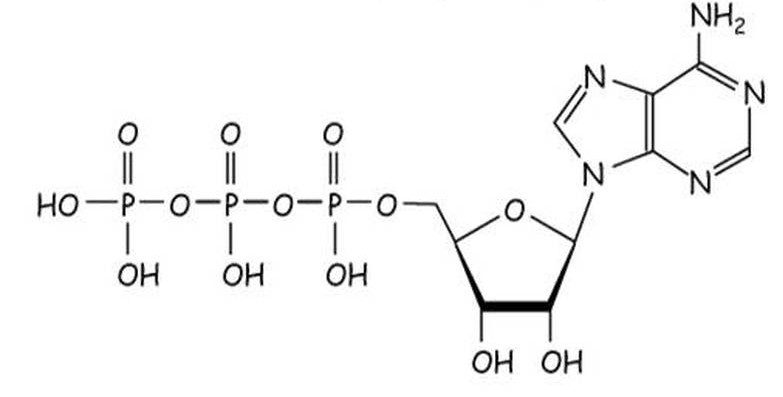
ATP exámenVersión en línea Elige las respuesta correcta por Bere S 1 ¿Qué significan la siglas ATP? a Trifosfato b Adenosina c Adenosin trifosfato d Ácido trifosfato 2 ¿Cuál es la función del ATP? a Producir energía b Producir alimento c Producir trifosfato d Todas las anteriores 3 Su estructura consta de: una purina, una azúcar y tres grupos fosfato? a Incorrecto b Son 4 grupos fosfato c No tiene dexorribosa d Correcto 4 ¿Cuál es la estructura correcta del ATP? a ATP b ATP c ATP d ATP 5 Tipo de macromoléculas qué transporta el ATP a Fosfatos b Proteínas y lípidos c Carbohidratos d Vitaminas 6 ¿Dónde tiene lugar la producción de energía celular? a En el hígado b En la sangre c En todas las células del organismo d En el estómago 7 ¿En qué organelo celular se forma ATP a partir de ADP y fosfato? a Mitocondria b Membrana celular c Aparato de Golgi d Citoplasma 8 ¿Qué es el ADP? a Adenosin difosfato b Adenosina c Un carbohidrato d Adenosa 9 ¿Qué el NADH? a Nicotina b Amida c Trifosfato d Nicotinamina adenina dinucleótido 10 ¿Qué proceso produce ATP? a Glucólisis b Ciclo del ácido cítrico c Beta oxidación d Todas las anteriores Explicación 1 2 2 2 3 2 4 2 5 2 6 2 7 2 8 2 9 2 10 2