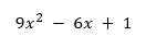
Operaciones con polinomiosVersión en línea Desarrollar la siguiente actividad por Evelyn Terán 1 Si dividimos P(x) entre Q(x) = x - a, tenemos que el resto R es igual a: a a b P(a) c Un polinomio del mismo grado que P(x) d P(-a) 2 El resto de dividir a -12 b 10 c -10 d 9 3 El polinomio a Si k = -1 b Si k = 1 c Si k = 0 d Ninguna de las anteriores 4 ¿Cómo se llama un polinomio cuando todos sus coeficientes son no nulos? a Polinomio completo b Polinomio nulo c Monomio d rinomio 5 Señala las afirmaciones correctas: Si A(x) es un monomio de grado m, entonces: a x.A(x) es un monomio de grado m+1. b 2.A(x) es un monomio de grado m. c x + A(x) es un monomio, si m = 1 d Ninguna de las anteriores 6 ¿Cuál de las siguientes factorizaciones corresponde al polinomio ? a (3x - 1).(3x + 1) b (x - 3).(x + 3) c (3x - 1)^2 d (3x + 1)^2 7 Si x = 5 es una raíz de P(x), ¿Cuál de las siguientes afirmaciones es cierta? a P(0) = 25 b P(0) = 5 c P(x) es divisible por x + 5 d P(x) es divisible por x - 5 8 Elija la respuesta correcta de: a A b B c C d C. Ninguna 9 Al multiplicar P (x) con R (x) se tiene: a A b B c C d D 10 El mayor exponente de una variable en un polinomio. a Valor absoluto b Valor relativo c Coeficiente d Exponente 11 P (x; y) a Variables sin polinomio. b Polinomio con variables xe y. c Polinomio con exponentes xe y. d Polinomio que tiene 2 variables a y b.