Icon Crear Crear

Ec Diferenciales

Test

(5)
Clasificación de las Ecuaciones Diferenciales de acuerdo a su tipo, orden, grado y linealidad

Descarga la versión para jugar en papel

Edad recomendada: 21 años
570 veces realizada

Creada por

España

Top 10 resultados

  1. 1
    00:17
    tiempo
    60
    puntuacion
  2. 2
    00:35
    tiempo
    60
    puntuacion
  3. 3
    Ana
    Ana
    02:03
    tiempo
    60
    puntuacion
  4. 4
    Daniela A
    Daniela A
    02:07
    tiempo
    60
    puntuacion
  5. 5
    02:36
    tiempo
    60
    puntuacion
  6. 6
    JuanDa Segura
    JuanDa Segura
    03:26
    tiempo
    60
    puntuacion
  7. 7
    00:59
    tiempo
    40
    puntuacion
  8. 8
    01:01
    tiempo
    40
    puntuacion
  9. 9
    02:50
    tiempo
    20
    puntuacion
  10. 10
    vivi
    vivi
    00:11
    tiempo
    0
    puntuacion
¿Quieres aparecer en el Top 10 de este juego? para identificarte.
Crea tu propio juego gratis desde nuestro creador de juegos
Compite contra tus amigos para ver quien consigue la mejor puntuación en esta actividad

Top juegos

  1. tiempo
    puntuacion
  1. tiempo
    puntuacion
tiempo
puntuacion
tiempo
puntuacion
 
game-icon

Ec DiferencialesVersión en línea

Clasificación de las Ecuaciones Diferenciales de acuerdo a su tipo, orden, grado y linealidad

por Nayeli Gutierrez
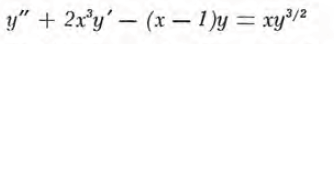
1

y''+xyy'=senx

2

Clasifica la siguiente ecuación diferencial

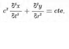
3

Clasifica la siguiente ecuación diferencial

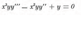
4

Clasifica la siguiente ecuación diferencial

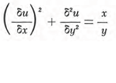
5

Clasifica la siguiente ecuación diferencial

educaplay suscripción