Icon Crear Crear

"P"EVALUACION 1:FUNCIÓN EXPONENCIAL Y LOGARÍTM

Test

(38)
Resolver ejercicios de función exponencial y logarítmica; ecuaciones exponenciales y logarítmicas; propiedades de los exponentes y de los logaritmos.

Descarga la versión para jugar en papel

Edad recomendada: 17 años
272 veces realizada

Creada por

Ecuador

Top 10 resultados

  1. 1
    01:23
    tiempo
    100
    puntuacion
  2. 2
    01:43
    tiempo
    100
    puntuacion
  3. 3
    02:12
    tiempo
    100
    puntuacion
  4. 4
    03:10
    tiempo
    100
    puntuacion
  5. 5
    03:11
    tiempo
    100
    puntuacion
  6. 6
    03:34
    tiempo
    100
    puntuacion
  7. 7
    04:32
    tiempo
    100
    puntuacion
  8. 8
    04:39
    tiempo
    100
    puntuacion
  9. 9
    05:49
    tiempo
    100
    puntuacion
  10. 10
    08:07
    tiempo
    100
    puntuacion
¿Quieres aparecer en el Top 10 de este juego? para identificarte.
Crea tu propio juego gratis desde nuestro creador de juegos
Compite contra tus amigos para ver quien consigue la mejor puntuación en esta actividad

Top juegos

  1. tiempo
    puntuacion
  1. tiempo
    puntuacion
tiempo
puntuacion
tiempo
puntuacion
 
game-icon

"P"EVALUACION 1:FUNCIÓN EXPONENCIAL Y LOGARÍTM Versión en línea

Resolver ejercicios de función exponencial y logarítmica; ecuaciones exponenciales y logarítmicas; propiedades de los exponentes y de los logaritmos.

por JOSE LUIS ROMAN CHINGAL
1

Sea la función exponencial y=2^x

Escoge una o varias respuestas

2

Sea la función exponencial y=2^(x)+1

Escoge una o varias respuestas

3

Sea la función exponencial y=2^(x)-2

Escoge una o varias respuestas

4

Sea la función exponencial y=2^(x+3)

Escoge una o varias respuestas

5

Sea la función exponencial y=2^(x-3)

Escoge una o varias respuestas

6

Sea la función logarítmica y=log(2,x)

Escoge una o varias respuestas

7

Sea la función logarítmica y=log(2,x)-3

Escoge una o varias respuestas

8

Sea la función logarítmica y=log(2,x)+3

Escoge una o varias respuestas

9

Sea la función logarítmica y=log(2,x+2)

Escoge una o varias respuestas

10

Sea la función logarítmica y=log(2,x-4)

Escoge una o varias respuestas

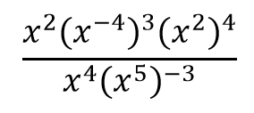
11

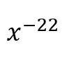
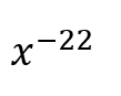
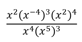
Aplicar las propiedades de los exponentes y simplificar la siguiente expresión

12

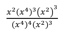
Aplicar las propiedades de los exponentes y simplificar la siguiente expresión

13

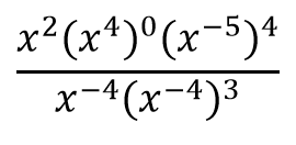
Aplicar las propiedades de los exponentes y simplificar la siguiente expresión

14

Aplicar las propiedades de los exponentes y simplificar la siguiente expresión

15

Aplicar las propiedades de los exponentes y simplificar la siguiente expresión

16

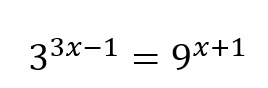
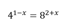
Resolver la siguiente ecuación exponencial

17

Resolver la siguiente ecuación exponencial

18

Resolver la siguiente ecuación exponencial

19

Resolver la siguiente ecuación exponencial

20

Resolver la siguiente ecuación exponencial

21

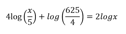
Aplicar las propiedades de los logaritmos para encontrar su valor

22

Aplicar las propiedades de los logaritmos para encontrar su valor

23

Aplicar las propiedades de los logaritmos para encontrar su valor

24

Aplicar las propiedades de los logaritmos para encontrar su valor

25

Aplicar las propiedades de los logaritmos para encontrar su valor

26

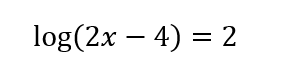
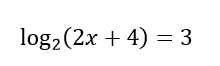
Resolver la siguiente ecuación logarítmica

27

Resolver la siguiente ecuación logarítmica

28

Resolver la siguiente ecuación logarítmica

29

Resolver la siguiente ecuación logarítmica

30

Resolver la siguiente ecuación logarítmica

Explicación

Dom= R, Rec= R+ AH: Y=0

Es una traslación respecto del eje y, recorrido de (1;+∞)

Es una traslación respecto del eje y, recorrido de (-2;+∞)

Es una traslación respecto del eje x, Dominio los reales

Es una traslación respecto del eje x, Dominio los reales

Dom= R+, Rec= R AV: x=0

Dom= R+, Rec= R , traslación respecto al eje y

Dom= R+, Rec= R , traslación respecto al eje y

Dom= (-2,+∞), Rec= R , traslación respecto al eje x

Dom= (+4,+∞), Rec= R , traslación respecto al eje x

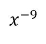
Aplicar la multiplicación y división de potencias de igual base

Aplicar la multiplicación y división de potencias de igual base

Aplicar la multiplicación y división de potencias de igual base

Aplicar la multiplicación y división de potencias de igual base

Aplicar la multiplicación y división de potencias de igual base

Aplicar las propiedades de los exponentes

Aplicar las propiedades de los exponentes

Aplicar las propiedades de los exponentes

Aplicar las propiedades de los exponentes

Aplicar las propiedades de los exponentes

Aplicar las propiedades de los logaritmos

Aplicar las propiedades de los logaritmos

Aplicar las propiedades de los logaritmos

Aplicar las propiedades de los logaritmos

Aplicar las propiedades de los logaritmos

Aplicar las propiedades de los exponentes y logaritmos logaritmos

Aplicar las propiedades de los exponentes y logaritmos

Aplicar las propiedades de los exponentes y logaritmos

Aplicar las propiedades de los exponentes y logaritmos

Aplicar las propiedades de los exponentes y logaritmos

educaplay suscripción