Icon Crear Crear

Límites y continuidad

Test

(5)
En este Test se evalúa el conocimiento del tema de límites y continuidad.

Descarga la versión para jugar en papel

144 veces realizada

Creada por

Colombia

Top 10 resultados

  1. 1
    03:13
    tiempo
    100
    puntuacion
  2. 2
    04:35
    tiempo
    100
    puntuacion
  3. 3
    Martin Correa
    Martin Correa
    02:40
    tiempo
    60
    puntuacion
  4. 4
    00:12
    tiempo
    40
    puntuacion
  5. 5
    00:17
    tiempo
    20
    puntuacion
  6. 6
    00:17
    tiempo
    20
    puntuacion
  7. 7
    00:27
    tiempo
    20
    puntuacion
¿Quieres aparecer en el Top 10 de este juego? para identificarte.
Crea tu propio juego gratis desde nuestro creador de juegos
Compite contra tus amigos para ver quien consigue la mejor puntuación en esta actividad

Top juegos

  1. tiempo
    puntuacion
  1. tiempo
    puntuacion
tiempo
puntuacion
tiempo
puntuacion
 
game-icon

Límites y continuidadVersión en línea

En este Test se evalúa el conocimiento del tema de límites y continuidad.

por Hector U Villamil G
1

Cuando se resuelven límites en ocasiones se encuentra con el operador infinito, es de recordar que infinito no es un número, pero en algunas ocasiones como en el caso de los límites el operador infinito se considera como un número, es entonces donde se hace necesario modificar la función donde se calcula el límite, esto se hace para evitar un caso especial de límites, seleccione la respuesta correcta

2

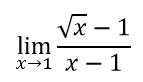
Calcular el siguiente límite

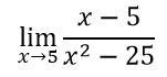
3

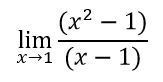
Calcular el siguiente límite

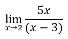
4

Calcular el siguiente límite

5

Si el límite de una función definida parte por parte al evaluarse en un punto determinado da como resultado limites laterales con valores diferentes, se puede concluir:

6

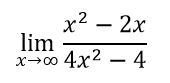
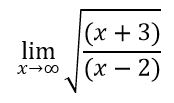
Calcular el siguiente límite

7

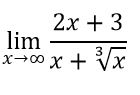
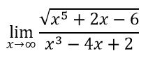
Calcular el siguiente límite

8

Calcular el siguiente límite

9

Para que una función sea continua se requiere cumplir unas condiciones seleccione las correctas:

10

Calcular el siguiente límite

11

Calcular el siguiente límite