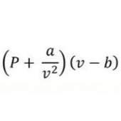
Relacionar Columnas factor de comprensibilidad G.AVersión en línea Relacionar correctamente la palabra, frase y/o imagen correcta por SERGIO ALEJANDRO CARRION AVELLANEDA 1 En temperaturas altas el gas se comporta de manera 2 Donde P es la presión del gas, V es el volumen que ocupa, T es su temperatura, R es la constante del gas ideal, y n es el número de moles del gas. 3 razón del volumen molar de un gas con relación al volumen molar de un gas ideal a la misma temperatura y presión. 4 relación entre la presión parcial del vapor de agua y la presión de vapor de equilibrio del agua a una temperatura dada, depende de la temperatura y la presión del sistema de interés. 5 6 Gas ideal Ecuación de van der waals factor de compresibilidad Ecuación de estado de un gas ideal Ideal Humedad relativa