Icon Crear Crear

Funciones

Test

Contesta adecuadamente

Descarga la versión para jugar en papel

Edad recomendada: 16 años
4 veces realizada

Creada por

Ecuador

Top 10 resultados

  1. 1
    00:32
    tiempo
    25
    puntuacion
  2. 2
    00:25
    tiempo
    0
    puntuacion
  3. 3
    10:00
    tiempo
    0
    puntuacion
¿Quieres aparecer en el Top 10 de este juego? para identificarte.
Crea tu propio juego gratis desde nuestro creador de juegos
Compite contra tus amigos para ver quien consigue la mejor puntuación en esta actividad

Top juegos

  1. tiempo
    puntuacion
  1. tiempo
    puntuacion
tiempo
puntuacion
tiempo
puntuacion
 
game-icon

FuncionesVersión en línea

Contesta adecuadamente

por Iván Moyota Chávez
1

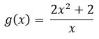
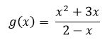
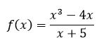
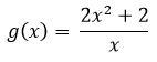
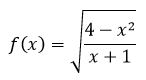
La asíntota oblicua de la función

2

El dominio de la función

3

El rango de la función

4

La función corta al eje X en

5

La asíntota horizontal de la función

Explicación

Revise las operaciones