Icon Crear Crear

Sistema de ecuaciones

Test

Aquí aprenderás a desarrollar lo que has aprendido anteriormente suerte y esfuérzate

Descarga la versión para jugar en papel

Edad recomendada: 14 años
2 veces realizada

Creada por

El Salvador

Top 10 resultados

Todavía no hay resultados para este juego. ¡Sé el primero en aparecer en el ranking! para identificarte.
Crea tu propio juego gratis desde nuestro creador de juegos
Compite contra tus amigos para ver quien consigue la mejor puntuación en esta actividad

Top juegos

  1. tiempo
    puntuacion
  1. tiempo
    puntuacion
tiempo
puntuacion
tiempo
puntuacion
 
game-icon

Sistema de ecuacionesVersión en línea

Aquí aprenderás a desarrollar lo que has aprendido anteriormente suerte y esfuérzate

por Fernanda Medrano
1

Soluciona el siguiente ejercicio acorde lo aprendido Ecuaciones de una incognita

Respuesta escrita

2

Soluciona el siguiente ejercicio acorde lo aprendido Ecuaciones de una incognita

Respuesta escrita

3

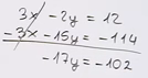
Encuentra el valor de X y Y Ecuaciones de dos incógnitas

Respuesta escrita

4

Encuentra el valor de X y Y Ecuaciones de dos incógnitas

5

Cual es larespuesta correcta de la siguiente ecuacion? x+y=60, 16x + 20y = 1100 metodo de sutitucion

6

Cual es larespuesta correcta de la siguiente ecuacion? metodo de sutitucion

7

Pasos que se deben seguir para el método de igualación

8

En que consiste el método de igualación

9

¿Como te sientes después de este test?

Respuesta escrita