Icon Crear Crear

Logaritmigos

Test

Juega con tus amigos los logaritmos y pon a prueba tus conocimientos. Tu puedes!

Descarga la versión para jugar en papel

Edad recomendada: 16 años
8 veces realizada

Creada por

Perú

Top 10 resultados

  1. 1
    JEFF VERA
    JEFF VERA
    03:00
    tiempo
    0
    puntuacion
¿Quieres aparecer en el Top 10 de este juego? para identificarte.
Crea tu propio juego gratis desde nuestro creador de juegos
Compite contra tus amigos para ver quien consigue la mejor puntuación en esta actividad

Top juegos

  1. tiempo
    puntuacion
  1. tiempo
    puntuacion
tiempo
puntuacion
tiempo
puntuacion
 
game-icon

LogaritmigosVersión en línea

Juega con tus amigos los logaritmos y pon a prueba tus conocimientos. Tu puedes!

por diamely piñeiro
1

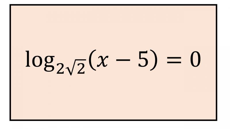
Encuentra el valor de “x” en:

Escoge una o varias respuestas

2

Cuál es el valor de x que satisface:

Escoge una o varias respuestas

3

El valor de “x” que cumpla lo siguiente:

Escoge una o varias respuestas

4

Halla el valor de “x” en:

Escoge una o varias respuestas

5

Calcule:

Escoge una o varias respuestas

6

Calcule el valor de:

Escoge una o varias respuestas