Icon Crear Crear

Productos Notables

Crucigrama

(7)
Se le llama identidad notable o producto notable a un cierto producto que cumple reglas fijas y cuyo resultado puede ser escrito por simple inspección, es decir, sin verificar la multiplicación.

Descarga la versión para jugar en papel

Edad recomendada: 12 años
30 veces realizada

Creada por

Perú

Top 10 resultados

  1. 1
    02:53
    tiempo
    100
    puntuacion
  2. 2
    10:41
    tiempo
    100
    puntuacion
  3. 3
    28:46
    tiempo
    100
    puntuacion
  4. 4
    10:04
    tiempo
    92
    puntuacion
  5. 5
    09:58
    tiempo
    85
    puntuacion
  6. 6
    12:14
    tiempo
    73
    puntuacion
  7. 7
    03:40
    tiempo
    64
    puntuacion
  8. 8
    03:08
    tiempo
    0
    puntuacion
¿Quieres aparecer en el Top 10 de este juego? para identificarte.
Crea tu propio juego gratis desde nuestro creador de juegos
Compite contra tus amigos para ver quien consigue la mejor puntuación en esta actividad

Top juegos

  1. tiempo
    puntuacion
  1. tiempo
    puntuacion
tiempo
puntuacion
tiempo
puntuacion
 
game-icon

Crucigrama

Productos NotablesVersión en línea

Se le llama identidad notable o producto notable a un cierto producto que cumple reglas fijas y cuyo resultado puede ser escrito por simple inspección, es decir, sin verificar la multiplicación.

por JHONNY EGOCHEAGA OSCCO
1

2

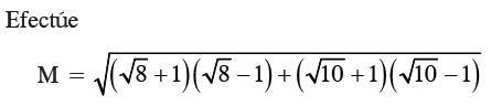
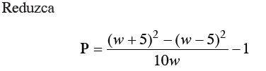
Efectúe: 4x8-3x7+5

3

4

5

6

7

8

Nacionalidad del matemático Augustin Louis Cauchy

9

10

11

12

13

14

5
9
2
12
1
4
11
7
10
13
14
8