Icon Crear Crear

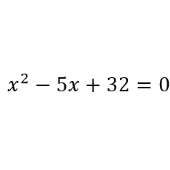
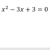
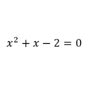
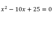
Solución Ec Cuadráticas

Memory

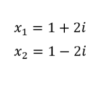
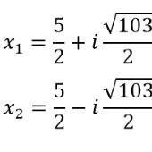
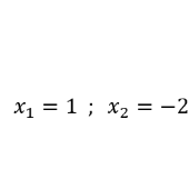
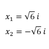
Tendrás que unir la carta en la que esté una ecuación cuadrática, con la carta que contenga sus soluciones, también tendrás que usar la memoria. ¡Hay comodines que te ayudan a sumar puntos!.

Descarga la versión para jugar en papel

Edad recomendada: 12 años
15 veces realizada

Creada por

Colombia

Top 10 resultados

  1. 1
    00:55
    tiempo
    67
    puntuacion
  2. 2
    02:16
    tiempo
    0
    puntuacion
¿Quieres aparecer en el Top 10 de este juego? para identificarte.
Crea tu propio juego gratis desde nuestro creador de juegos
Compite contra tus amigos para ver quien consigue la mejor puntuación en esta actividad

Top juegos

  1. tiempo
    puntuacion
  1. tiempo
    puntuacion
tiempo
puntuacion
tiempo
puntuacion
 
game-icon

Memory

Solución Ec CuadráticasVersión en línea

Tendrás que unir la carta en la que esté una ecuación cuadrática, con la carta que contenga sus soluciones, también tendrás que usar la memoria. ¡Hay comodines que te ayudan a sumar puntos!.

por JORGE MARTINEZ