Icon Crear Crear

Jerarquía de las operaciones

Relacionar Columnas

(8)
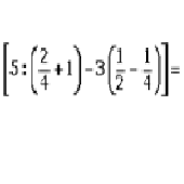
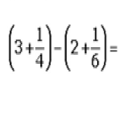
Actividad para repasar sobre las operaciones en las que se aplica la jerarquía de las operaciones aritméticas

Descarga la versión para jugar en papel

Edad recomendada: 15 años
599 veces realizada

Creada por

México

Top 10 resultados

  1. 1
    00:36
    tiempo
    100
    puntuacion
  2. 2
    01:07
    tiempo
    100
    puntuacion
  3. 3
    03:38
    tiempo
    100
    puntuacion
  4. 4
    01:26
    tiempo
    90
    puntuacion
  5. 5
    02:06
    tiempo
    45
    puntuacion
  6. 6
    01:00
    tiempo
    43
    puntuacion
  7. 7
    02:51
    tiempo
    43
    puntuacion
  8. 8
    00:18
    tiempo
    0
    puntuacion
  9. 9
    00:23
    tiempo
    0
    puntuacion
  10. 10
    00:42
    tiempo
    0
    puntuacion
¿Quieres aparecer en el Top 10 de este juego? para identificarte.
Crea tu propio juego gratis desde nuestro creador de juegos
Compite contra tus amigos para ver quien consigue la mejor puntuación en esta actividad

Top juegos

  1. tiempo
    puntuacion
  1. tiempo
    puntuacion
tiempo
puntuacion
tiempo
puntuacion
 
game-icon

Relacionar Columnas

Jerarquía de las operacionesVersión en línea

Actividad para repasar sobre las operaciones en las que se aplica la jerarquía de las operaciones aritméticas

por Abraham Rueda