Icon Crear Crear

Sistema de Inecuaciones

Test

(108)
Dada el sistema de inecuaciones lineales con dos incógnitas, seleccione el conjunto solución que le corresponde.

Descarga la versión para jugar en papel

Edad recomendada: 17 años
660 veces realizada

Creada por

Ecuador

Top 10 resultados

  1. 1
    00:33
    tiempo
    100
    puntuacion
  2. 2
    00:34
    tiempo
    100
    puntuacion
  3. 3
    00:44
    tiempo
    100
    puntuacion
  4. 4
    00:47
    tiempo
    100
    puntuacion
  5. 5
    00:50
    tiempo
    100
    puntuacion
  6. 6
    00:54
    tiempo
    100
    puntuacion
  7. 7
    01:02
    tiempo
    100
    puntuacion
  8. 8
    01:03
    tiempo
    100
    puntuacion
  9. 9
    01:09
    tiempo
    100
    puntuacion
  10. 10
    01:12
    tiempo
    100
    puntuacion
¿Quieres aparecer en el Top 10 de este juego? para identificarte.
Crea tu propio juego gratis desde nuestro creador de juegos
Compite contra tus amigos para ver quien consigue la mejor puntuación en esta actividad

Top juegos

  1. tiempo
    puntuacion
  1. tiempo
    puntuacion
tiempo
puntuacion
tiempo
puntuacion
 
game-icon

Sistema de InecuacionesVersión en línea

Dada el sistema de inecuaciones lineales con dos incógnitas, seleccione el conjunto solución que le corresponde.

por Paola Herrera
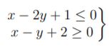
1

¿Cuál de las siguientes gráficas representa la solución contemplada del siguiente sistema de desigualdad?

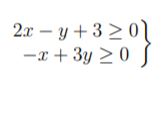
2

¿Cuál de las siguientes gráficas representa la solución contemplada del siguiente sistema de desigualdad?

3

¿Cuál de las siguientes gráficas representa la solución contemplada del siguiente sistema de desigualdad?

4

¿Cuál de las siguientes gráficas representa la solución contemplada del siguiente sistema de desigualdad?

5

¿Cuál de las siguientes gráficas representa la solución contemplada del siguiente sistema de desigualdad?

6

¿Cuál de las siguientes gráficas representa la solución contemplada del siguiente sistema de desigualdad?

Explicación

De acuerdo a los signos, la primera inecuación se pinta debajo de la recta, y de la segunda inecuación se pinta por encima de la recta

De acuerdo a los signos, la primera inecuación se pinta por encima de la recta, y de la segunda inecuación se pinta por encima de la recta

De acuerdo a los signos, la primera inecuación se pinta por encima de la recta, y de la segunda inecuación se pinta por debajo de la recta

De acuerdo a los signos, la primera inecuación se pinta por encima de la recta, y de la segunda inecuación se pinta por encima de la recta

De acuerdo a los signos, la primera inecuación se pinta por debajo de la recta, y de la segunda inecuación se pinta por encima de la recta

De acuerdo a los signos, la primera inecuación se pinta por encima de la recta, y de la segunda inecuación se pinta por debajo de la recta