Icon Crear Crear

Derivada producto-cociente

Test

(18)
Utilizar la fórmula de derivada correspondiente, ya se derivada del cociente o derivada del producto.

Descarga la versión para jugar en papel

387 veces realizada

Creada por

México

Top 10 resultados

  1. 1
    00:18
    tiempo
    100
    puntuacion
  2. 2
    00:24
    tiempo
    100
    puntuacion
  3. 3
    00:33
    tiempo
    100
    puntuacion
  4. 4
    00:40
    tiempo
    100
    puntuacion
  5. 5
    00:48
    tiempo
    100
    puntuacion
  6. 6
    04:15
    tiempo
    100
    puntuacion
  7. 7
    06:32
    tiempo
    100
    puntuacion
  8. 8
    10:24
    tiempo
    100
    puntuacion
  9. 9
    01:05
    tiempo
    75
    puntuacion
  10. 10
    Ervis Eddie Ramírez Cruz
    Ervis Eddie Ramírez Cruz
    04:55
    tiempo
    75
    puntuacion
¿Quieres aparecer en el Top 10 de este juego? para identificarte.
Crea tu propio juego gratis desde nuestro creador de juegos
Compite contra tus amigos para ver quien consigue la mejor puntuación en esta actividad

Top juegos

  1. tiempo
    puntuacion
  1. tiempo
    puntuacion
tiempo
puntuacion
tiempo
puntuacion
 
game-icon

Derivada producto-cocienteVersión en línea

Utilizar la fórmula de derivada correspondiente, ya se derivada del cociente o derivada del producto.

por Esthy Ley
1

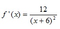
Determinar la derivada de la siguiente función

2

Hallar la derivada de la siguiente función

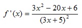
3

Determinar la derivada de la siguiente función

4

Hallar la derivada de la siguiente función

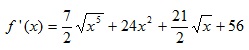
5

Determinar la derivada de la siguiente función

6

Hallar la derivada de la siguiente función

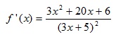
7

Determinar la derivada de la siguiente función

8

Hallar la derivada de la siguiente función

9

Determinar la derivada de la siguiente función

10

Determinar la derivada de la siguiente función

11

Hallar la derivada de la siguiente función

12

Hallar la derivada de la siguiente función

13

Determinar la derivada de la siguiente función

14

Hallar la derivada de la siguiente función

15

Determinar la derivada de la siguiente función

16

Hallar la derivada de la siguiente función