Icon Crear Crear

Cálculo diferencial

Test

(3)
Derivadas

Descarga la versión para jugar en papel

Edad recomendada: 16 años
8 veces realizada

Creada por

México

Top 10 resultados

  1. 1
    02:46
    tiempo
    60
    puntuacion
  2. 2
    05:26
    tiempo
    40
    puntuacion
  3. 3
    06:36
    tiempo
    40
    puntuacion
  4. 4
    00:48
    tiempo
    20
    puntuacion
¿Quieres aparecer en el Top 10 de este juego? para identificarte.
Crea tu propio juego gratis desde nuestro creador de juegos
Compite contra tus amigos para ver quien consigue la mejor puntuación en esta actividad

Top juegos

  1. tiempo
    puntuacion
  1. tiempo
    puntuacion
tiempo
puntuacion
tiempo
puntuacion
 
game-icon

Cálculo diferencialVersión en línea

Derivadas

por claus ley
1

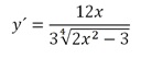
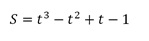
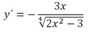
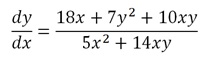
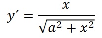
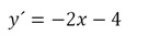
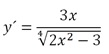
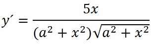
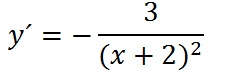
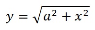
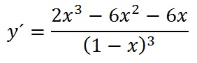
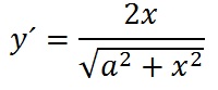
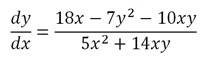
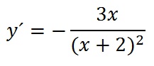
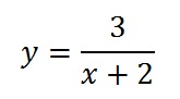
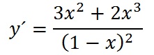
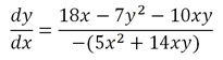
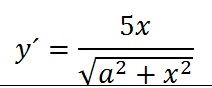
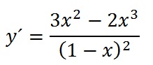
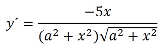
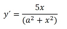
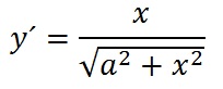
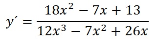
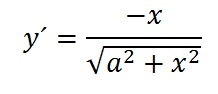
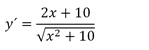
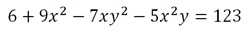
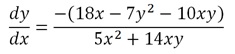
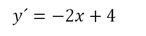
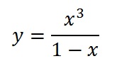
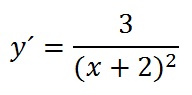
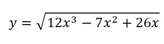
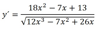
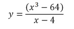
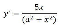
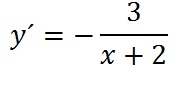
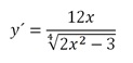
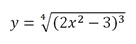
Derivar la siguiente función

2

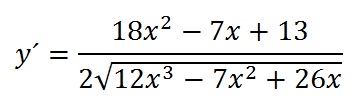
Derivar la siguiente función

3

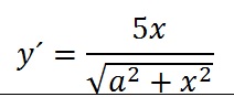
Derivar la siguiente función

4

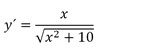
Derivar la siguiente función

5

Derivar la siguiente función

6

Derivar la siguiente función

7

Derivar la siguiente función

8

Derivar la siguiente función

9

Derivar la siguiente función

10

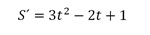
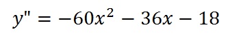
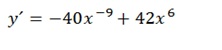
Obtener la segunda derivada de la función

11

Obtener la segunda derivada de la función

12

Obtener la segunda derivada de la función

13

Derivar la siguiente función

14

Derivar la siguiente función

15

Derivar la siguiente función

16

Derivar la siguiente función

17

Derivar la siguiente función