Icon Crear Crear

PROPIEDADES DE LA POTENCIACIÓN

Relacionar Columnas

(9)
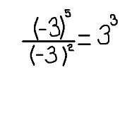
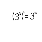
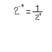
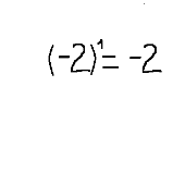
En esta actividad se muestran dos columnas una donde se definen las propiedades de la potenciación en los números enteros y la otra donde se muestra un ejemplo. El estudiante debe relacionar la columna de la definición con su respectivo ejemplo

Descarga la versión para jugar en papel

Edad recomendada: 10 años
279 veces realizada

Creada por

Colombia

Top 10 resultados

  1. 1
    00:17
    tiempo
    100
    puntuacion
  2. 2
    00:20
    tiempo
    100
    puntuacion
  3. 3
    00:31
    tiempo
    100
    puntuacion
  4. 4
    00:40
    tiempo
    100
    puntuacion
  5. 5
    00:59
    tiempo
    100
    puntuacion
  6. 6
    01:07
    tiempo
    100
    puntuacion
  7. 7
    01:14
    tiempo
    100
    puntuacion
  8. 8
    01:24
    tiempo
    100
    puntuacion
  9. 9
    03:21
    tiempo
    100
    puntuacion
  10. 10
    01:12
    tiempo
    50
    puntuacion
¿Quieres aparecer en el Top 10 de este juego? para identificarte.
Crea tu propio juego gratis desde nuestro creador de juegos
Compite contra tus amigos para ver quien consigue la mejor puntuación en esta actividad

Top juegos

  1. tiempo
    puntuacion
  1. tiempo
    puntuacion
tiempo
puntuacion
tiempo
puntuacion
 
game-icon

Relacionar Columnas

PROPIEDADES DE LA POTENCIACIÓNVersión en línea

En esta actividad se muestran dos columnas una donde se definen las propiedades de la potenciación en los números enteros y la otra donde se muestra un ejemplo. El estudiante debe relacionar la columna de la definición con su respectivo ejemplo

por diana bello