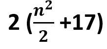
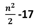
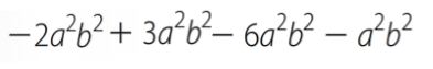
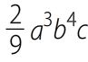
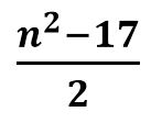
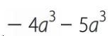
Examen- Introducción ÁlgebraVersión en línea ESTIMADO ESTUDIANTE: El presente examen corresponde al curso de Álgebra en la unidad Uno (1) denominada "Introducción al ÁLGEBRA" en donde básicamente se desea evaluar la temática vista en clase por JAVIER DARIO RICARDO BARBOSA 1 Los números se representan en una recta numérica. Estos se clasifican en racionales e irracionales. ¿Es posible representar números irracionales (decimales infinitos) utilizando construcciones geométricas? ** Selecciona una Opción ** a No es posible porque un componente geométrico no sería válido b Sí, es posible porque en algunos casos los números irracionales se representan utilizando el plano cartesiano utilizando el teorema de pitágoras c Sí, es posible utilizando solo una calculadora, lápiz y papel. d No es posible porque son números muy pequeños. 2 La diagonal de una figura se calcula usando el Teorema de Pitágoras. En la siguiente imagen se muestra un rectángulo, al calcular la medida de la diagonal da como resultado: (Elegir una opción). a Opción 1 b Opción 2 c Opción 3 d Opción 4 3 De las siguientes opciones, una correspondencia al orden correcto (menor a mayor) los siguientes números reales: a Opción 1 b Opción 2 c Opción 3 d Opción 4 4 Las expresiones algebraicas se caracterizan por contener números, signos e incógnitas. Expresar en notación algebraica el siguiente enunciado, elegir la opción correcta. a Opción 1 b Opción 2 c Opción 3 d Opción 4 5 El coeficiente numérico de una expresión algebraica es el número que está ubicado antes de la parte literal. De las opciones siguientes, determina el coeficiente para la expresión algebraica (imagen): a Opción 1: el coeficiente de la expresión algebraica es 8 b Opción 2: el coeficiente de la expresión algebraica es 9 c Opción 3: el coeficiente de la expresión algebraica es 2/9 d Opción 4: el coeficiente de la expresión algebraica es - 2/9 6 Una expresión algebraica es aquella que contiene coeficientes, signos e incógnitas. Escribe una expresión algebraica de la siguiente figura: a Opción 1: 4(X +3) b Opción 2: 4X +3 c Opción 3: 4X - 3 d Opción 4: 4X+3 + 4X 7 Observa la imagen y selecciona una opción correcta según la clasificación de expresiones algebraicas a Opción 1: Es un trinomio porque tiene las variables XY b Opción 2: Es un Polinomio porque contiene un exponente a la 3 c Opción 3: Un trinomio porque posee 3 términos d Opción 4: Es un Binomio porque la expresión tiene un exponente a la 2 8 De las siguientes expresiones ¿cuál es el polinomio ordenado que tiene grado absoluto 5 y término independiente 8. a Opción 1 b Opción 2 c Opción 3 d Opción 4 9 El volumen de un tronco de cono, como el que se muestra en la figura, está dada por la expresión: a opción 1: 3400PI b Opción 2: 3920PI c Opción 3: 4150PI d Opción 4: 4200PI 10 Observa el polinomio descrito en la imagen. Determina los términos semejantes. Elige la opción correcta, a Opción 1 b Opción 2 c Opción 3 d Opción 4 Explicación 1 Muy bien esa es la respuesta correcta. Felicidades!! 2 Muy bien esa es la respuesta correcta, es es la diagonal. Felicidades!! 3 Buen trabajo! ese es el orden de los números. 4 Perfecto, la notación elegida es la correcta! 5 Muy bien esa es la respuesta correcta. Felicidades!! 6 Muy bien esa es la respuesta correcta. Felicidades!! 7 Muy bien esa es la respuesta correcta. Felicidades!! 8 Ese es el polinomio correcto! Felicitaciones. 9 Excelente. Esa es la respuesta. 10 Excelente. Esa es la respuesta.