Icon Crear Crear

Quiz Integración de funciones racionales por fracciones parciales

Test

(5)
Tema 7: Quiz de integración de funciones racionales por fracciones parciales. Aplique el método de fracciones parciales para resolver la integral y seleccione la respuesta correcta

Descarga la versión para jugar en papel

Edad recomendada: 15 años
264 veces realizada

Creada por

Colombia

Top 10 resultados

  1. 1
    02:35
    tiempo
    100
    puntuacion
  2. 2
    05:21
    tiempo
    80
    puntuacion
  3. 3
    05:50
    tiempo
    80
    puntuacion
  4. 4
    00:34
    tiempo
    50
    puntuacion
  5. 5
    00:32
    tiempo
    40
    puntuacion
  6. 6
    06:44
    tiempo
    40
    puntuacion
  7. 7
    01:12
    tiempo
    20
    puntuacion
  8. 8
    01:37
    tiempo
    20
    puntuacion
  9. 9
    03:44
    tiempo
    0
    puntuacion
¿Quieres aparecer en el Top 10 de este juego? para identificarte.
Crea tu propio juego gratis desde nuestro creador de juegos
Compite contra tus amigos para ver quien consigue la mejor puntuación en esta actividad

Top juegos

  1. tiempo
    puntuacion
  1. tiempo
    puntuacion
tiempo
puntuacion
tiempo
puntuacion
 
game-icon

Quiz Integración de funciones racionales por fracciones parcialesVersión en línea

Tema 7: Quiz de integración de funciones racionales por fracciones parciales. Aplique el método de fracciones parciales para resolver la integral y seleccione la respuesta correcta

por Armando Sánchez
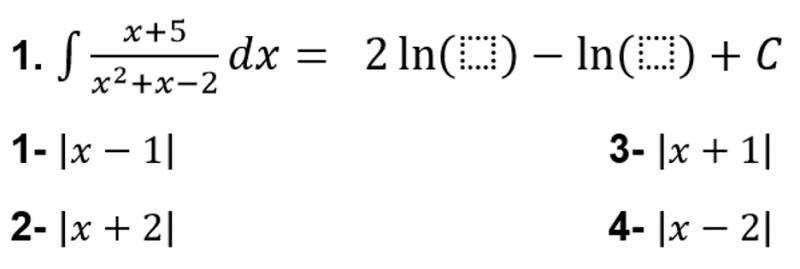
1

Aplique el método de facciones parciales para resolver la integral y seleccione la respuesta correcta:

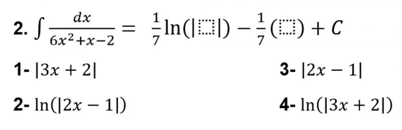
2

Aplique el método de facciones parciales para resolver la integral y seleccione la respuesta correcta:

3

Aplique el método de facciones parciales para resolver la integral y seleccione la respuesta correcta:

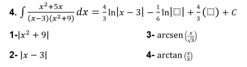
4

Aplique el método de facciones parciales para resolver la integral y seleccione la respuesta correcta:

5

Aplique el método de facciones parciales para resolver la integral y seleccione la respuesta correcta:

educaplay suscripción