Icon Crear Crear

Exercícios de Matemática

Test

Exercício de Equações

Descarga la versión para jugar en papel

Edad recomendada: 13 años
1 veces realizada

Creada por

Portugal

Top 10 resultados

  1. 1
    00:26
    tiempo
    50
    puntuacion
¿Quieres aparecer en el Top 10 de este juego? para identificarte.
Crea tu propio juego gratis desde nuestro creador de juegos
Compite contra tus amigos para ver quien consigue la mejor puntuación en esta actividad

Top juegos

  1. tiempo
    puntuacion
  1. tiempo
    puntuacion
tiempo
puntuacion
tiempo
puntuacion
 
game-icon

Exercícios de MatemáticaVersión en línea

Exercício de Equações

por Duarte Gomes
1

O josé pensou num número, adicionou-lhe 5 e obteve 20. Em que número pensou o José?

2

Qual é o resultado da seguinte equação? 3x-3=5+x

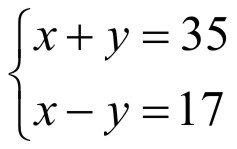
3

Qual é o valor de X e de Y?

4

Qual é o valor de X e de Y?