Icon Crear Crear

Notación Sigma

Test

(111)
Desarrollar la sumatoria de una expresión

Descarga la versión para jugar en papel

Edad recomendada: 16 años
2347 veces realizada

Creada por

México

Top 10 resultados

  1. 1
    00:18
    tiempo
    100
    puntuacion
  2. 2
    00:19
    tiempo
    100
    puntuacion
  3. 3
    00:20
    tiempo
    100
    puntuacion
  4. 4
    00:26
    tiempo
    100
    puntuacion
  5. 5
    00:32
    tiempo
    100
    puntuacion
  6. 6
    00:42
    tiempo
    100
    puntuacion
  7. 7
    00:44
    tiempo
    100
    puntuacion
  8. 8
    00:46
    tiempo
    100
    puntuacion
  9. 9
    00:54
    tiempo
    100
    puntuacion
  10. 10
    01:09
    tiempo
    100
    puntuacion
¿Quieres aparecer en el Top 10 de este juego? para identificarte.
Crea tu propio juego gratis desde nuestro creador de juegos
Compite contra tus amigos para ver quien consigue la mejor puntuación en esta actividad

Top juegos

  1. tiempo
    puntuacion
  1. tiempo
    puntuacion
tiempo
puntuacion
tiempo
puntuacion
 
game-icon

Notación SigmaVersión en línea

Desarrollar la sumatoria de una expresión

por Ing. José Carlos Montoya Leal
1

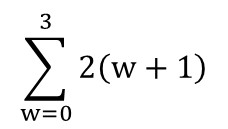
Determina el valor de la siguinte sumatoria

2

Determina el valor de la siguinte sumatoria

3

Determina el valor de la siguinte sumatoria

4

Determina el valor de la siguinte sumatoria

5

Determina el valor de la siguinte sumatoria

6

Determina el valor de la siguinte sumatoria

7

Determina el valor de la siguinte sumatoria

8

Determina el valor de la siguinte sumatoria

9

Determina el valor de la siguinte sumatoria

10

Determina el valor de la siguinte sumatoria