Icon Crear Crear

Nociones de Límites

Test

(4)
El objetivo de esta actividad es identificar el nivel de apropiación del concepto de límite

Descarga la versión para jugar en papel

Edad recomendada: 14 años
67 veces realizada

Creada por

Colombia

Top 10 resultados

  1. 1
    00:49
    tiempo
    100
    puntuacion
  2. 2
    00:56
    tiempo
    100
    puntuacion
  3. 3
    01:37
    tiempo
    100
    puntuacion
  4. 4
    02:46
    tiempo
    57
    puntuacion
  5. 5
    00:14
    tiempo
    28
    puntuacion
¿Quieres aparecer en el Top 10 de este juego? para identificarte.
Crea tu propio juego gratis desde nuestro creador de juegos
Compite contra tus amigos para ver quien consigue la mejor puntuación en esta actividad

Top juegos

  1. tiempo
    puntuacion
  1. tiempo
    puntuacion
tiempo
puntuacion
tiempo
puntuacion
 
game-icon

Nociones de LímitesVersión en línea

El objetivo de esta actividad es identificar el nivel de apropiación del concepto de límite

por bergeneth rincon arias
1

En la función f(x)=(x^2-9)/(x+3) cuando "x" se aproxima a "-3", f(x) se aproxima a:

2

En la función f(x)=20+x: si asignamos valores a "x" cercanos a 2, ¿Qué sucede con f(x)?

3

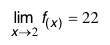
Para f(x)=20+x, cuando "x" se aproxima a 2; f(x) se aproxima a "22". Esto se simboliza "cuando x→2 f(x)→22" y se escribe como:

4

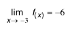
En la función f(x)=(x^2-9)/(x+3) cuando "x" se aproxima a "-3", f(x) se aproxima a -6. Lo que se simboliza "cuando x→-3; se tiene que f(x)→-6". Y se escribe como:

5

En la gráfica de la función f(x), se dice que está definida en Xo = ? y se expresa como: ?

6

El límite de la función racional es:

7

El límite de la función radical es:

educaplay suscripción