Icon Crear Crear

Crucigrama: Pendiente y Ecuación de la Recta

Crucigrama

(2)
Explora conceptos clave sobre la representación y características de líneas rectas en el plano cartesiano.

Descarga la versión para jugar en papel

Edad recomendada: 14 años
11 veces realizada

Creada por

México

Top 10 resultados

  1. 1
    02:30
    tiempo
    20
    puntuacion
¿Quieres aparecer en el Top 10 de este juego? para identificarte.
Crea tu propio juego gratis desde nuestro creador de juegos
Compite contra tus amigos para ver quien consigue la mejor puntuación en esta actividad

Top juegos

  1. tiempo
    puntuacion
  1. tiempo
    puntuacion
tiempo
puntuacion
tiempo
puntuacion
 
game-icon

Crucigrama

Crucigrama: Pendiente y Ecuación de la RectaVersión en línea

Explora conceptos clave sobre la representación y características de líneas rectas en el plano cartesiano.

por Israel Ruiz Mendoza
1

La pendiente de una recta indica la __________ de esta recta.

2

Para graficar una recta en el plano cartesiano necesitamos un ___________.

3

Una recta horizontal tiene una pendiente de ___________.

4

Para determinar la ecuación de una recta necesitamos la _________ y un punto del plano cartesiano por donde pasa la recta.

5

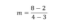
La pendiente de la siguiente recta es:

6

7

La expresión 2x+3y-8=0 es una ecuación _____________

8

La pendiente de la siguiente recta es:

9

En la ecuación y-8=4(x+2) el valor de x1 es:

10

10
4
5
9
8
3
2
6
7