Icon Crear Crear

Tarjetas didácticas (Límites por medio del método de racionalización)

Sí o No

Esta es una actividad de repaso y retroalimentación sobre los conceptos clave y pasos involucrados en la resolución de límites por medio del método de racionalización. Para el desarrollo de la misma deberá responder con un "SI" o "No" a cada planteamiento.

Descarga la versión para jugar en papel

0 veces realizada

Creada por

Guatemala

Top 10 resultados

Todavía no hay resultados para este juego. ¡Sé el primero en aparecer en el ranking! para identificarte.
Crea tu propio juego gratis desde nuestro creador de juegos
Compite contra tus amigos para ver quien consigue la mejor puntuación en esta actividad

Top juegos

  1. tiempo
    puntuacion
  1. tiempo
    puntuacion
tiempo
puntuacion
tiempo
puntuacion
 
game-icon

Tarjetas didácticas (Límites por medio del método de racionalización)Versión en línea

Esta es una actividad de repaso y retroalimentación sobre los conceptos clave y pasos involucrados en la resolución de límites por medio del método de racionalización. Para el desarrollo de la misma deberá responder con un "SI" o "No" a cada planteamiento.

por Valerie Denisse Medrano Mendoza
1

¿La racionalización, es un método que consiste en eliminar las raíces (radicales) en el denominador o numerador de una expresión para simplificarla y poder encontrar el límite de la función?

2

¿Para resolver un límite, es necesario aplicar la racionalización cuando al sustituir el valor en la función se obtiene un cero como resultado?

3

¿La racionalización para resolver un límite, es necesario aplicarla cuando se tiene una raíz en el denominador o numerador?

4

¿El conjugado de la expresión raíz cuadrada de x, -3 es: raíz cuadrada de x, +3?

5

¿La simplificación de la expresión raíz cuadrado de x, -2 / x-4 es: 1 / raíz cuadrado de x, +4?

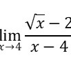
6

¿Usando el método de racionalización, el resultado final al sustituir x = 4 en el siguiente planteamiento (ver la imagen) es: 1/3?

7

¿Para encontrar el límite de una función aplicando la racionalización, se debe multiplicar el numerador y el denominador por el conjugado de la expresión radical?

8

¿Es importante simplificar la expresión antes de calcular el límite, porque ayuda a eliminar las formas indeterminadas y facilita la correcta evaluación del límite?

9

¿La racionalización es un método específico de simplificación que se utiliza cuando las expresiones algebraicas incluyen potencias, ayudando a resolver problemas que serían difíciles de manejar?

10

¿Si no se aplica correctamente la racionalización, es posible que se obtengan resultados incorrectos o que no se elimine la forma indeterminada?

11

¿La forma 0/0 es indeterminada porque no se puede determinar un valor sin más simplificación?

12

¿La racionalización ayuda a eliminar las raíces, simplificar la expresión, y encontrar una forma indeterminada de la función?