Crear
Obtener Plan Académico

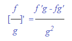
Juego de Memoria de Cálculo

Memory

Diviértete mientras aprendes las reglas de derivación e integración con este juego de memoria. Encuentra las parejas correctas y mejora tus habilidades matemáticas.

Descarga la versión para jugar en papel

Edad recomendada: 16 años
2 veces realizada

Creada por

México

Top 10 resultados

Todavía no hay resultados para este juego. ¡Sé el primero en aparecer en el ranking! para identificarte.
Crea tu propio juego gratis desde nuestro creador de juegos
Compite contra tus amigos para ver quien consigue la mejor puntuación en esta actividad

Top juegos

  1. tiempo
    puntuacion
  1. tiempo
    puntuacion
tiempo
puntuacion
tiempo
puntuacion
 
game-icon

Memory

Juego de Memoria de CálculoVersión en línea

Diviértete mientras aprendes las reglas de derivación e integración con este juego de memoria. Encuentra las parejas correctas y mejora tus habilidades matemáticas.

por Gael Fernando Garcia Lopez