Icon Crear Crear

Sucesiones Numéricas

Test

(13)
Estas actividades se proponen para introducir el tema sucesiones numéricas

Descarga la versión para jugar en papel

Edad recomendada: 16 años
31 veces realizada

Creada por

Argentina

Top 10 resultados

  1. 1
    Gearson Omaña
    Gearson Omaña
    00:09
    tiempo
    100
    puntuacion
  2. 2
    00:09
    tiempo
    100
    puntuacion
  3. 3
    Selene
    Selene
    00:10
    tiempo
    100
    puntuacion
  4. 4
    00:11
    tiempo
    100
    puntuacion
  5. 5
    00:16
    tiempo
    100
    puntuacion
  6. 6
    Andrea ALMARZA
    Andrea ALMARZA
    00:24
    tiempo
    100
    puntuacion
  7. 7
    Fernando Banba
    Fernando Banba
    00:34
    tiempo
    100
    puntuacion
  8. 8
    Valen Jerez
    Valen Jerez
    01:37
    tiempo
    100
    puntuacion
  9. 9
    SILVANA MARTINEZ
    SILVANA MARTINEZ
    04:23
    tiempo
    100
    puntuacion
  10. 10
    Ariana Morell
    Ariana Morell
    09:25
    tiempo
    100
    puntuacion
¿Quieres aparecer en el Top 10 de este juego? para identificarte.
Crea tu propio juego gratis desde nuestro creador de juegos
Compite contra tus amigos para ver quien consigue la mejor puntuación en esta actividad

Top juegos

  1. tiempo
    puntuacion
  1. tiempo
    puntuacion
tiempo
puntuacion
tiempo
puntuacion
 
game-icon

Sucesiones NuméricasVersión en línea

Estas actividades se proponen para introducir el tema sucesiones numéricas

por maria laura Santori
1

¿Cuál es el décimo término de la siguiente sucesión? 10 , 20 , 40 , 80 , 160 , ...

2

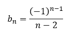
Si b_n es el término n-ésimo de una sucesión ¿Cuál es el décimo término ?

3

¿Cuál es el término general de la sucesión cuyos términos tienen la siguiente forma? 10 , 12 , 16 , 22 , 30 , ...

4

Si se deposita 10 dólares en un sistema de ahorro que paga un interés mensual del 8%, ¿Cuál será la cantidad de dólares acumulado durante un año si no se realiza ninguna extracción?(sin contar los centavos)