Icon Crear Crear

Derivadas Diagnostico (D)

Test

Aquí las derivadas básicas del calculo infinitesimal

Descarga la versión para jugar en papel

Edad recomendada: 17 años
1 veces realizada

Creada por

República Dominicana
Este juego es una version de

Top 10 resultados

  1. 1
    02:50
    tiempo
    26
    puntuacion
¿Quieres aparecer en el Top 10 de este juego? para identificarte.
Crea tu propio juego gratis desde nuestro creador de juegos
Compite contra tus amigos para ver quien consigue la mejor puntuación en esta actividad

Top juegos

  1. tiempo
    puntuacion
  1. tiempo
    puntuacion
tiempo
puntuacion
tiempo
puntuacion
 
game-icon

Derivadas Diagnostico (D)Versión en línea

Aquí las derivadas básicas del calculo infinitesimal

por Victor payano
1

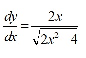
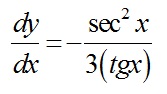
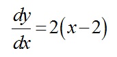
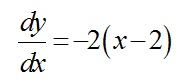
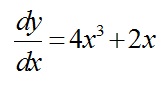
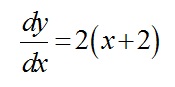
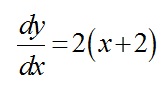
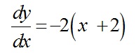
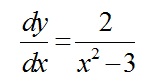
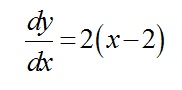
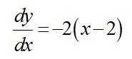
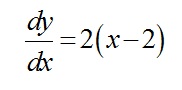
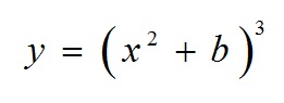
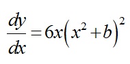
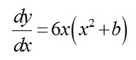
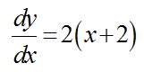
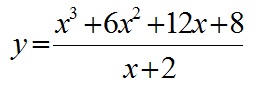
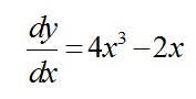
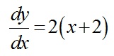
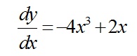
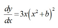
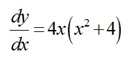
Hallar la derivada de la siguiente función.

2

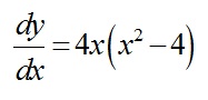
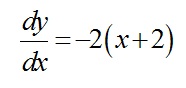
Hallar la derivada de la siguiente función.

3

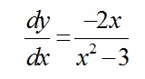
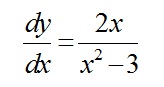
Hallar la derivada de la siguiente función.

4

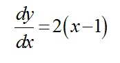
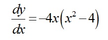
Hallar la derivada de la siguiente función.

5

Hallar la derivada de la siguiente función.

6

Hallar la derivada de la siguiente función.

7

Hallar la derivada de la siguiente función.

8

Hallar la derivada de la siguiente función.

9

Hallar la derivada de la siguiente función.

10

Hallar la derivada de la siguiente función.

11

Hallar la derivada de la siguiente función.

12

Hallar la derivada de la siguiente función.

13

Hallar la derivada de la siguiente función.

14

Hallar la derivada de la siguiente función.

15

Hallar la derivada de la siguiente función.

Explicación

esta respuesta es porque...