Icon Crear Crear

Derivadas Sucesivas (P3-1) (D)

Test

(4)
Derivadas Sucesivas (P3-1)Dada la función, determinar la derivada del orden solicitado.

Son funciones cuya primera derivada es inmediata; por lo que las siguientes derivadas también deben ser inmediatas. en un solo paso puedes obtener la siguiente derivada; y con mucha habilidad, no requieres escribir nada

Descarga la versión para jugar en papel

Edad recomendada: 16 años
26 veces realizada

Creada por

México
Este juego es una version de

Top 10 resultados

  1. 1
    23:35
    tiempo
    96
    puntuacion
  2. 2
    09:36
    tiempo
    79
    puntuacion
¿Quieres aparecer en el Top 10 de este juego? para identificarte.
Crea tu propio juego gratis desde nuestro creador de juegos
Compite contra tus amigos para ver quien consigue la mejor puntuación en esta actividad

Top juegos

  1. tiempo
    puntuacion
  1. tiempo
    puntuacion
tiempo
puntuacion
tiempo
puntuacion
 
game-icon

Derivadas Sucesivas (P3-1) (D)Versión en línea

Derivadas Sucesivas (P3-1)Dada la función, determinar la derivada del orden solicitado. Son funciones cuya primera derivada es inmediata; por lo que las siguientes derivadas también deben ser inmediatas. en un solo paso puedes obtener la siguiente derivada; y con mucha habilidad, no requieres escribir nada

por Enrique Hernandez
1

Cual es la segunda derivada de la función

2

Cual es la tercera derivada de la función

3

Cual es la tercera derivada de la función

4

Cual es la segunda derivada de la función

5

Cual es la cuarta derivada de la función

6

Cual es la segunda derivada de la función

7

Cual es la segunda derivada de la función

8

Cual es la cuarta derivada de la función

9

Cual es la cuarta derivada de la función

10

Cual es la cuarta derivada de la función

11

Cual es la tercera derivada de la función

12

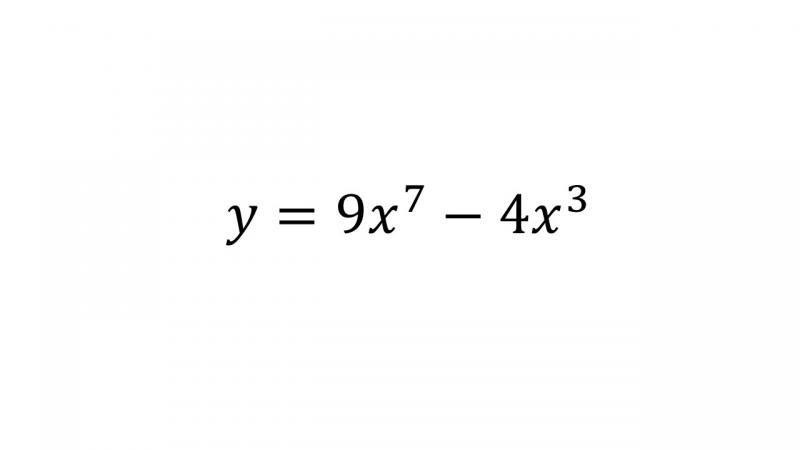
Cual es la octava derivada de la función

13

Cual es la segunda derivada de la función

14

Cual es la tercera derivada de la función

15

Cual es la segunda derivada de la función

16

Cual es la cuarta derivada de la función

17

Cual es la segunda derivada de la función

18

Cual es la segunda derivada de la función

19

Cual es la tercera derivada de la función

20

Cual es la octava derivada de la función

21

Cual es la octava derivada de la función

22

Cual es la tercera derivada de la función

23

Cual es la quinta derivada de la función

24

Cual es la tercera derivada de la función

Explicación

obtener la quinta derivada

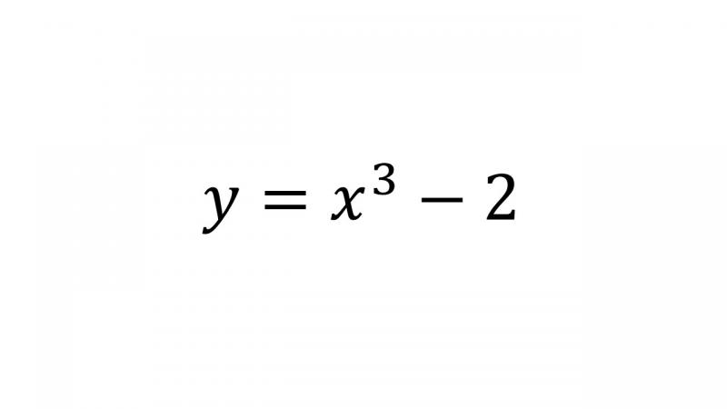
obtener la tercera derivada