Icon Crear Crear

PRUEBA SABER 8°

Test

(12)
Es una prueba que esta diseñada con 10 preguntas tipo ICFES y además, contiene preguntas de selección múltiple con única respuesta, preguntas abiertas y cerradas. debes escoger la opción correcta según lo consideres.

Descarga la versión para jugar en papel

Edad recomendada: 12 años
86 veces realizada

Creada por

Colombia

Top 10 resultados

  1. 1
    Sofia Jaramillo y nicoll andrea quintero
    Sofia Jaramillo y nicoll andrea quintero
    01:28
    tiempo
    90
    puntuacion
  2. 2
    Leonel Gil Diaz
    Leonel Gil Diaz
    01:56
    tiempo
    80
    puntuacion
  3. 3
    Edwin yesid Quintero
    Edwin yesid Quintero
    00:36
    tiempo
    70
    puntuacion
  4. 4
    06:47
    tiempo
    70
    puntuacion
  5. 5
    Carlos Giraldo ,Wilder Ramírez
    Carlos Giraldo ,Wilder Ramírez
    00:51
    tiempo
    50
    puntuacion
  6. 6
    samantha Osorio y Juan Jose Alzate
    samantha Osorio y Juan Jose Alzate
    12:46
    tiempo
    50
    puntuacion
  7. 7
    Edith Valentina Arciniegas Galeano
    Edith Valentina Arciniegas Galeano
    16:36
    tiempo
    50
    puntuacion
  8. 8
    DAINER Y MAIKOL
    DAINER Y MAIKOL
    18:13
    tiempo
    50
    puntuacion
  9. 9
    Evelin yohana Jiménez idarraga
    Evelin yohana Jiménez idarraga
    22:48
    tiempo
    50
    puntuacion
  10. 10
    Ang
    Ang
    00:13
    tiempo
    40
    puntuacion
¿Quieres aparecer en el Top 10 de este juego? para identificarte.
Crea tu propio juego gratis desde nuestro creador de juegos
Compite contra tus amigos para ver quien consigue la mejor puntuación en esta actividad

Top juegos

  1. tiempo
    puntuacion
  1. tiempo
    puntuacion
tiempo
puntuacion
tiempo
puntuacion
 
game-icon

PRUEBA SABER 8°Versión en línea

Es una prueba que esta diseñada con 10 preguntas tipo ICFES y además, contiene preguntas de selección múltiple con única respuesta, preguntas abiertas y cerradas. debes escoger la opción correcta según lo consideres.

por Polos Lizarda
1

Un investigador quiere saber cómo aumenta la población de un tipo de mamífero. Para ello, ingresa una pareja de estos en un ecosistema limitado. El crecimiento de la población se registró en la tabla.Con los datos de la tabla, si se mantiene la relación entre el año y la cantidad, es correcto afirmar que la población de mamíferos

2

En la figura, las fichas 1 y 2 son cuadradas. ¿Qué se le debe hacer a la ficha 2 para que sea igual con la ficha 1?

3

La figura muestra un triángulo rectángulo con ángulo recto en A, Del anterior triangulo podemos decir que es

4

Si el área de un rectángulo es el producto entre el largo y el ancho, entonces la expresion algebraica que representa el área de la piscina es (ver figura)

5

El resultado de binomio cuadrado (x + 2)2 es

6

Carlos cumplió años y recibió varios regalos. La cantidad de cada uno de ellos se muestra en la gráfica. ¿Cuántos regalos de color azul recibió Carlos en su cumpleaños?

7

Para la construcción de señales de tránsito, se usan estos cinco tipos de figuras:Un tipo de señales debe tener forma circular o tener una cantidad impar de lados. ¿Cuáles figuras pueden usarse para realizar este tipo de señales?

8

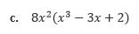
La factorización por factor común de una expresión algebraica consiste en determinar dos o más factores cuyo producto sea igual a la expresión propuesta. Para ello se observa si hay presencia de un término común, que puede ser tanto de letras como de números. Para el caso de las letras, se toma como factor común las literales comunes a todos los términos que tengan el menor exponente, y para los números, se calcula el máximo común divisor (MCD) de todos los coeficientes. Por ejemplo (VER IMAGEN). Del ejemplo, el factor común de los coeficientes es

9

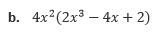
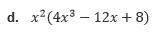
La factorización de la expresión 4x^5-12x^3+8x^2 es

10

El producto notable (x + 1) (x – 1) es igual a

Explicación

geometría

geometría

área de figura con expresión algebraica

cuadrado de la suma de dos términos

ESTADISTICA

GEOMETRIA

FACTORIZACION

FACTORIZACION

productos Notables (producto de suma por diferencia)