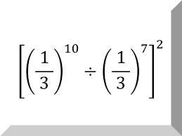
operaciones números racionales (D)Versión en línea Actividad para el refuerzo de las operaciones básicas, potenciación y radicación de los números racionales. por floren pajarito 1 Según lo visto en el video, se llama fracciones homogéneas a: a a. fracciones que valen los mismo b b. fracciones con el mismo numerador c c. fracciones con el mismo denominador 2 El concepto de "fracción irreducible" se reduce a: a a. aquella que es muy pequeña b b. aquella que no se puede reducir mas c c. aquella fracción que representa mas de 1 unidad. 3 Según el concepto de fracción impropia que se recordó en e l video , NO sería una de etas: a a. 13/2 b b. 14/5 c c. 3/7 4 Segun el video ; si dos fracciones se están dividiendo y tienen la misma base entonces: a a. divido los números fraccionarios con la ley de la orejita. b b. se coloca la misma base y se restan los exponntes. c c. se coloca la misma base y se suman los exponentes. 5 Si se dice: que se multiplica el exponente por el ptro exponente, estamos hablando de una propiedad de la potenciación llamada: a a. potencia de una raiz b b. multiplicacion de exponentes c c. potencia de una potencia 6 Según el video para resolver ejercicios que implique fracciones y potencias se debe iniciar por: a a. se resuelven todos los exponentes y se deja el ejercicio lineal. b b. se inicia realizando las operaciones dentro de los signos de agrupación c c. se realizan sumas y restas antes de resolver paréntesis. 7 recordando el proceso para hallar el MInimo comun multiplo de varios numeros, averiguo el numero 15 es el minimo comun multiplo MCM del siguiente grupo de números: a a. 6 - 12- 24 b b. 3 - 5 - 1 c c. 8 - 15 - 2 8 Observa el ejercicio y según el método visto en e video halla una respuesta. a a. 4/15 b b- -15 /4 c c. -4/15 9 Según lo observado en el video, cuando encontramos una fraccion elevada a un exponente negativo el proceso a seguir es: a a. La fracción se multiplica arriba y abajo por (-1) b b. La fracción se invierte y asi queda con exponente positivo. c c. se suma con su inverso ar aobtener 1 como resultado. 10 mira el ejercicio d ela figura y segun lo aprendido y repasado, resuelvelo aplicando las propiedades de la potenciación. a a. 6/18 b b- 1/729 c c. 729